Геометрия уравнения погрешностей азимутов/румбов

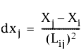
Изменение координат для каждого наблюдения выражается следующей аппроксимацией рядом Тейлора уравнения погрешностей азимутов/румбов:

и

где

На следующем рисунке показана геометрия уравнения погрешностей азимутов/румбов: