
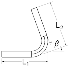
Детали из листового металла определяются в сложенном виде или по функциональном состоянию, однако они изготавливаются из плоского листа. Сгибы, которые разворачиваются при формировании развертки, деформируют материал в области сгиба. Величина деформации зависит от нескольких переменных. Трансформация сложенной модели в развернутое состояние требует проведения расчета такой деформации одним из трех методов:
Используйте пользовательские формулы, чтобы задать точный порядок разворачивания областей сгибов в свернутых моделях деталей из листового металла. Такие пользовательские формулы определяются в именованных правилах развертки, которые создаются с помощью диалогового окна "Редактор стилей и стандартов".
В следующих разделах приводится дальнейшее описание типов формул для получения расчетов по деформации.

Используется формула коррекции сгиба, что позволяет определить общую развернутую длину:
Где:
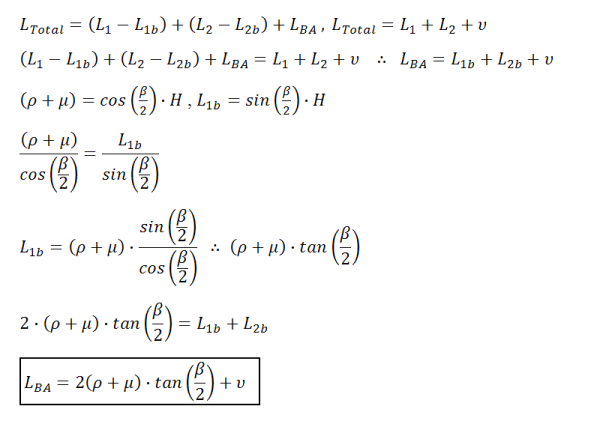
Вычисление поправки на сгиб в Inventor выполняется с использованием следующих уравнений: В случаях углов:
используемое уравнение:
Где:
Дополните исходное уравнение, включив в него результаты вычисления поправки на сгиб.


В случаях углов:

Используется следующая формула:
Дополните исходное уравнение, включив в него результаты вычисления поправки на сгиб:


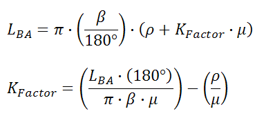
После определения коэффициента расчета развертки можно вывести коэффициент поправки с помощью:


Используется формула уменьшения сгиба, что позволяет определить общую развернутую длину:
Где:
Формула уменьшения сгиба предоставляет метод расчета, прямо противоположный методу компенсации сгиба.
При использовании метода уменьшения сгиба Inventor вычисляет поправку на сгиб с использованием следующих уравнений.
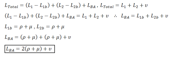
В случаях углов:

используемое уравнение:

Где:
В случаях углов:
используемое уравнение:

Используется формула коэффициента расчета развертки, что позволяет определить общую развернутую длину:
Где:
Определенное уравнение передается для нахождения непосредственно поправки на сгиб. Коэффициент поправки на изгиб может быть выведен из следующего уравнения:


Для определения общей развернутой длины с использованием метода поправки на изгиб применяется следующее уравнение:
Где:
Поправка на изгиб вычисляется с помощью следующих выражений: