Передаваемый крутящий момент
Где:
|
P |
мощность [кВт] |
|
|
n |
скорость [об/мин] |
Расчет минимального диаметра вала
1. внутренний диаметр вала d h > 0
а) 
б) если d min ≤d h -> d min = 1,1 d h [мм]
в) если d min ≤ 1,5 d h -> d min = 1,5 d h [мм]
2. внутренний диаметр вала d h = 0

Где:
|
d min |
минимальный диаметр вала [мм] |
|
|
d h |
внутренний диаметр вала [мм] |
|
|
T |
крутящий момент [Нм] |
|
|
K a |
коэффициент внешней динамической нагрузки |
|
|
K f |
коэффициент усталостной выносливости |
|
|
S v |
необходимый запас прочности |
|
|
τ A |
Допустимое напряжение среза |
Общий расчет
|
|
диапазон действия сил на вал |
|
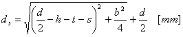
h k = h - h s - 2 s [мм] |
диапазон действия сил на ступицу |
![]() |
диаметр вала для диапазона действия сил |
![]() |
диаметр ступицы для диапазона действия сил |
|
|
сила на вал |
|
|
сила на ступицу |
|
Где: |
|
T |
крутящий момент [Нм] |
|
|
F s |
сила на вал [Н] |
|
|
F h |
сила на ступицу [Н] |
|
|
K a |
коэффициент внешней динамической нагрузки |
|
|
K f |
коэффициент срока службы до полного износа |
|
|
K w |
коэффициент внешней динамической нагрузки |
|
|
K m |
коэффициент распределения нагрузки |
|
|
S v |
необходимый запас прочности |
|
|
d |
диаметр вала [мм] |
|
|
d s |
диаметр вала, на который действует сила F s [мм] |
|
|
d h |
диаметр вала, на который действует сила F d [мм] |
|
|
N |
количество канавок [-] |
|
|
h |
высота канавки |
|
|
h s |
высота точки приложения силы к валу [мм] |
|
|
h h |
высота точки приложения силы к ступице [мм] |
|
|
b |
ширина канавки |
|
|
t |
глубина канавки вала [мм] |
|
|
s |
фаска |
|
|
p Dmins |
минимальное допустимое давление (канавка, вал) [МПа] |
|
|
p Dminh |
минимальное допустимое давление (канавка, ступица) [МПа] |
Минимальная длина шпонки для передачи крутящего момента
|
1. Фиксированное соединение: |
а) |
|
б) |
|
|
L min = min(L mins , L minh ) |
|
|
2. Гибкое соединение: |
а) |
|
б) |
|
|
L min = min(L mins , L minh ) |
|
|
Где: |
|
F s |
сила на вал [Н] |
|
|
F h |
сила на ступицу [Н] |
|
|
K a |
коэффициент внешней динамической нагрузки |
|
|
K f |
коэффициент срока службы до полного износа |
|
|
K w |
коэффициент внешней динамической нагрузки |
|
|
K m |
коэффициент распределения нагрузки |
|
|
S v |
необходимый запас прочности |
|
|
d |
диаметр вала [мм] |
|
|
N |
количество канавок [-] |
|
|
h s |
высота точки приложения силы к валу [мм] |
|
|
h h |
высота точки приложения силы к ступице [мм] |
|
|
p Dmins |
минимальное допустимое давление (канавка, вал) [МПа] |
|
|
p Dminh |
минимальное допустимое давление (канавка, ступица) [МПа] |
Минимальное допустимое давление
|
1. Фиксированное соединение: |
а) |
|
б) |
|
|
2. Гибкое соединение: |
а) |
|
б) |
|
|
Где: |
|
F s |
сила на вал [Н] |
|
|
F h |
сила на ступицу [Н] |
|
|
K a |
коэффициент внешней динамической нагрузки |
|
|
K f |
коэффициент срока службы до полного износа |
|
|
K w |
коэффициент внешней динамической нагрузки |
|
|
K m |
коэффициент распределения нагрузки |
|
|
S v |
необходимый запас прочности |
|
|
d |
внутренний диаметр участка с пазом [мм] |
|
|
N |
количество канавок [-] |
|
|
h s |
высота точки приложения силы к валу [мм] |
|
|
h h |
высота точки приложения силы к ступице [мм] |
|
|
l f |
активная длина шпонки [мм] |
Проверка прочности
p mins ≤ p Ds
p minh ≤ p Dh
Где:
|
p mins |
минимальное расчетное давление при сдвиге на вал [МПа] |
|
|
p minh |
минимальное расчетное давление при сдвиге на ступицу [МПа] |
|
|
p Ds |
допустимое давление в вале [МПа] |
|
|
p Dh |
допустимое давление в ступице [МПа] |
Упрощенный расчет
Минимальная длина шпонки для передачи крутящего момента
|
1. Фиксированное соединение: |
![]() |
|
2. Гибкое соединение: |
![]() |
|
Где: |
|
T |
крутящий момент [Нм] |
|
|
K a |
коэффициент внешней динамической нагрузки |
|
|
K f |
коэффициент срока службы до полного износа |
|
|
K w |
коэффициент внешней динамической нагрузки |
|
|
K m |
коэффициент распределения нагрузки |
|
|
S v |
необходимый запас прочности |
|
|
d |
диаметр вала [мм] |
|
|
N |
количество канавок [-] |
|
|
h |
высота канавки |
|
|
s |
фаска |
|
|
h st |
высота соединения h st = h - 2 s [мм] |
|
|
p Dmin |
допустимое давление на опорной поверхности вала, канавки или ступицы [МПа] |
Допустимое давление
|
1. Фиксированное соединение: |
![]() |
|
2. Гибкое соединение: |
![]() |
|
Где: |
|
T |
крутящий момент [Нм] |
|
|
K a |
коэффициент внешней динамической нагрузки |
|
|
K f |
коэффициент срока службы до полного износа |
|
|
K w |
коэффициент внешней динамической нагрузки |
|
|
K m |
коэффициент распределения нагрузки |
|
|
S v |
необходимый запас прочности |
|
|
d |
диаметр вала [мм] |
|
|
N |
количество канавок [-] |
|
|
h |
высота канавки |
|
|
s |
фаска |
|
|
h st |
высота соединения h st = h - 2 s [мм] |
|
|
l f |
активная длина шпонки [мм] |
Проверка прочности
p min ≤ p Ds
p min ≤ p Dh
Где:
|
p min |
минимальное расчетное давление h/2 [МПа] |
|
|
p Ds |
допустимое давление в вале [МПа] |
|
|
p Dh |
допустимое давление в ступице [МПа] |