Система армирования разделена на две функциональные зоны:
Нижняя зона;
Арматура принадлежащая этой группе распределяется непосредственно поверх рабочей арматуры в следующей области.
0,4h, если h ≤ l
0,4*l если h > l
Если нижняя рабочая арматура распределенная в зоне на высоте = 0,15*h или 0,15 * l, то, досягаемость горизонтальной арматуры ограничена сверху и равна 0,55 * h или 0,55 * l.
Условные обозначения:
Ahi - поперечное сечение горизонтальной арматуры в слоях;
shi - пролет арматуры.
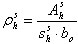
Процент горизонтальной арматуры равен:
.
Кроме того, необходимо проверить следующие условия:
, то армарура должна быть распределенна по всей длине пролета:
, то часть арматуры, минимальное значение которой равно =
распределяется по всей длине пролета, а остальная часть арматуры (в виде вставок), должна быть распределена в приопрорной зоне (в нижней зоне), на растоянии 0,3*Lо (от длины опоры). Верхняя зона;
Арматура этой зоны распределяется по всей длине пролета, если выполняется следующее:
Условные обозначения:
Ahs - поперечное сечение горизонтальной арматуры в слоях;
shs - пролет армаруры.
Процент горизонтальной арматуры равен:

В случае, когда h > L, применяется равномерно распределенная арматура в зоне между L и 1,5 * L. Процент этой арматуры должен быть меньше максимального (0.5*rhs; rhs(min)).