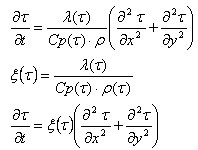
Уравнение теплового потока в контуре, представленном ниже, может быть описано следующим образом.

где
C p - удельная теплоемкость (Дж/кг*K);
λ - коэффициент теплопроводности (Вт/м*K);
ρ - плотность (кг/м 3).

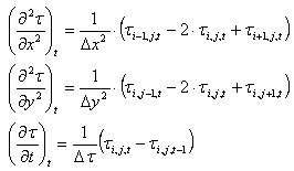
Дифференциальное представление уравнения теплового потока может быть описано как:
.
Выходные уравнения:
.
Таким образом для узлов K система уравнений M[KxK] x т[K] = B[K] будет решена.
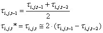
Принятые приближения
Когда известно, что текущая температура определяет коэффициенты, не описываемые уравнениями, применяется приближение на основе предыдущих временных отрезков (предыдущая разность).
Для постоянной величины временного шага Δτ, будет получено:

что позволяет определить:

для шага i = 1 t i,j,1 * = t i,j,o.
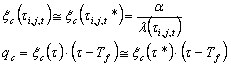
Граничные условия.
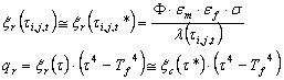
К общей формулировке проблемы добавляется третий тип граничных условий, который используется для:
где
n - нормаль к стороне
Tf - температура внешней среды контура определяется температурой огня.
При условии, что коэффициент конвекции a не зависит от температуры и принятых описанных ранее приближений, будет получено следующее:
.
где
n - нормаль к ребру
T f - температура внешней среды контура определяется температурой огня.
Φ - коэффициент формы
ε m - коэффициент элемента
ε f - коэффициент огня
σ - постоянная Больцмана 5.65*10 8 (Вт/м 2 *K 4 ).
Учитывая принятые ранее приближения, будет получено следующее:
.
Допущения, принятые по нормам DTU P 92-701
Огонь описан в отдельной (табличной) форме по следующей формуле:
(п. 4 DTU P 92-701, рисунок 11)
Огонь описан в отдельной (табличной) форме по следующей формуле:
где t выражается в [мин]
которая позволяет описывать температуру огня как:
Отдельные значения выбираются таким образом, чтобы никакое температурное приращение более чем на 30% не имело место в любом приращении времени. Выполняется линейная интерполяция между этими значениями.
Описание развития огня во времени приведено в файл Fire_DTU.t
Зависимость теплопроводности представлена в табличной форме (п. 3,15 DTU P 92-701).
Описание поведения теплопроводности в зависимости от температуры приведено в файле Lambda_DTU.la.
Не зависит от изменения температуры и равен 2400 [кг/м3].
Описание поведения удельного веса в зависимости от температуры приведено в файле Ro_DTU.cp.
Не зависит от температуры и равна 921.096 [Дж/кг*К], т.е. 0.22 [ккал/кг*OC] (п. 3.16 DTU P 92-701).
Описание характера удельной теплоемкости в зависимости от температуры приведено в файле Cp_DTU.cp.
Коэффициент приведения несущей способности бетона представлен в табличной форме (п. 3.13 DTU P 92-701).
Описание характера уменьшения несущей способности в зависимости от температуры представлено в файле fic_DTU.cfc.
Коэффициент приведения несущей способности стали представлен в табличной форме (п. 3.13 DTU P 92-701).
Описание характера уменьшения несущей способности стали в зависимости от температуры приведено в файле fiy_DTU_1_2.cfy.
При использовании стали типов 3 и 4, необходимо файла по умолчанию, нужно установить файл fiy_DTU_3_4.cfy.
Коэффициенты излучения:
Φ*εm*εf = 0.85 аналогично для коэффициента (п. 4 DTU P 92-701).
Данные коэффициенты следует понимать, как:
Φ - коэффициент формы
εm - коэффициент элемента
εf - коэффициент распространения огня.
Коэффициент конвекции:
α = 6,9 [Вт/м.кв*К] = 6.0 [ккал/м.кв*h*оC] (П. 4 DTU P 92-701)
Допущения, принятые по нормам EN 1992-1-2
Огонь описан в табличной форме в соответствии по формуле:
где
t выражается в [мин]
нужно принять значение начальной температуры равное 20[ 0C],
это позволяет описать температуру огня как:
.
необходимые значения выбираются таким образом, чтобы никакое температурное приращение более чем на 30% не имело место в любом приращении времени. Выполняется линейная интерполяция между этими значениями.
Описание развития огня во времени содержится в файле Fire_EC2_N.t.
В случае других типов огня, вместо файла по умолчанию нужно установить следующие параметры:
внешний огонь (п. 3.2.2 EN 1991-1-2): Fire_EC2_E.t
углеводородный огонь (п. 3.2.3 EN 1991-1-2): Fire_EC2_H.t
Зависимость теплопроводности представлена в табличной форме (п. 3.4 EN 1992-1-2) на основе высшего значения теплопроводности. Выполняется линейная интерполяция между этими значениями.
Описание характера теплопроводности в зависимости от температуры представлено в файле Lambda_EC2_L.la.
В случае использования ниже значения вместо значения по умолчанию, пользователю необходимо установить следующие параметры:
Lambda_EC2_U.la
Зависимость удельного веса представлена в табличной форме (п. 3.3.2 (3) EN 1992-1-2). Выполняется линейная интерполяция между этими значениями.
Описание плотности в зависимости от температуры представлена в файле Ro_EC2.cp.
Зависимость удельной теплоемкости представлена в табличной форме (п 3.3.2(1) и 3.3.2(2) EN 1992-1-2) на основе значения влажности равное 1,5%. Выполняется линейная интерполяция между этими значениями.
Описание удельной теплоемкости в зависимости от температуры внесено в файл Cp_EC2_m015.cp.
При использовании других значений влажности бетона вместо файла по умолчанию устанавливается следующее:
0% влажность: Cp_EC2_m000.cp;
3% влажность: Cp_EC2_m030.cp.
Зависимость коэффициента приведения несущей способности бетона представлена в табличной форме (п. 4.2.4.2 EN 1992-1-2) на основе значений для бетона с силикатным заполнителем. Выполняется линейная интерполяция между этими значениями.
Описание характера уменьшения несущей способности бетона в зависимости от температуры внесено в файл fic_EC2_Si.cfc.
При использовании бетона с известняковым заполнителем необходимо установить вместо файла по умолчанию fic_EC2_Ca.cfc следующие параметры:
Зависимость коэффициента приведения несущей способности стали представлена в табличной форме (п. 3.2.3 EN 1992-1-2) на основе значений для горячекатаной стали n-го класса. Выполняется линейная интерполяция между этими значениями.
Описание характера уменьшения несущей способности стали в зависимости от температуры представлено в файле fiy_EC2_Nhr.cfy.
При использовании других типов, вместо файла по умолчанию необходимо установить следующие параметры:
для холоднокатаной стали n-го класса: fiy_EC2_Ncw.cfy;
Сталь класса х: fiy_EC2_X.cfy.
коэффициенты излучения:
Φ = 1.0 - коэффициент формы (п. 3.1(6) EN 1991-1-2)
ε м = 0,8 - коэффициент элемента (п. 3.1 (6) EN 1991-1-2)
ε f = 1.0 - коэффициент огня (п. 3.1 (6) EN 1991-1-2)
коэффициент конвекции:
α ce = 25 [Вт/м2*К] на стороне, подверженной огню (п. 3.2.1 EN 1991-1-2)
α cu = 9,0 [ккал/кв.м*h*оC] на стороне, не подверженной огню (раздел 3.1 (5) EN 1991-1-2)
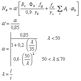
Расчёт несущей способности по нормам BAEL - центрально сжатые колонны
Данные, необходимые для расчета:
f cj - прочность бетона автоматически переносится из модуля железобетонных колон программы Robot;
Φ b - коэффициент для бетона в зависимости от температуры Φ b (τ), в этом случае τ является средняя температура внутри сечения;
f e - прочность стали автоматически переносится из модуля железобетонной колоны вRobot;
φ si - коэффициент для стали в зависимости от температуры φ s(τ), в этом случае τ является температура в i-том стержне;
l - высота колоны;
N - максимальная нагрузка, приложенная к колонне;
α - коэффициент автоматически переносится из модуля железобетонной колоны;

B r = A c - 0.01*u c ;
Br - уменьшенная площадь поперечного сечения;
A c - площадь поперечного сечения;
u c - периметр сечения;
γ b - коэффициент для бетона 1.3;
γ s - коэффициент для стали 1.0;
A i - площадь i-го армированного стержня.
Несущая способность колоны:
N/NQ > 1.0