Данный тип узла используется для расчета и проверки трубных соединений стальных элементов с круглым, квадратным и прямоугольным сечением по рекомендациям Еврокод 3: 2005.
Расчет узлов затрагивает следующие типы трубных соединений: K, N, KT, T, Y и X. Можно также использовать двутавры как пояс в соединении, а также использовать кронштейны (горизонтальные, боковые пластины), приваренные к поясу фермы (см. рисунок ниже).

Набор усилий, которые учитываются при расчете узла:
Методы расчета несущей способности отдельных стержней в узле должны быть выбраны на основании следующих пособий:
Принято, что проверка прочности узла N Rdi со стыковыми швами эквивалентна проверке прочности этих швов. Следовательно, при проверке сварных швов они рассматриваются как угловые швы. Проверка прочности швов производится согласно Еврокоду 3: 2005.
Принято, что
длина сварных швов равна их реальной длине.


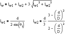
Если труба соединяется с плоским элементом под углом
Для поясов, изготавливаемых из прямоугольных и квадратных труб, принимается, что некоторые участки сварных швов не эффективны.
Для того случая, когда имеется расстояние между стержнями, принимается, что продольные участки швов (относительно оси пояса) полностью эффективны, а эффективность поперечных участков отличается. Участок 3 (внутренний сварной шов) наклонного стержня узла участвует в передаче силы от одного стержня на соседний участок, а участок 4 (внешний сварной шов) исключается из участия, при больших углах наклона.

Расчетные сечения угловых швов:
a) расчетное сечение сварного шва для θ > 50 [град]
a) расчетное сечение сварного шва для θ ≤ 50 [град]
Приведенная длина сварных швов в соединениях K и N равна:

Величина l4 в интервале (50 град, 60 град) должна быть линейно проинтерполирована.
В случае соединения с нахлесткой стержней принимается, что сварные швы учитываются по всем четырем сторонам соединяемых труб, а их длины рассчитываются согласно реальным размерам в соединении.

Длины сварных швов в соединениях K и N равны:

Процедура расчета напряжений на отдельных участках сварных швов такая же, как для соединений с промежутком между стержнями.
См. также:
Участки 3 не эффективны, если величины b малы
Принимается, что длина сварного шва эффективна:
