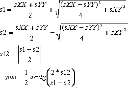
Основные значения напряжения s определяются согласно следующим формулам:
Прим.: Основные значения мембранных усилий N и моментов M определяются по тем же формулам (буква "s", обозначающая напряжения, соответственно заменяется буквами "N" и "M").
Комплексное (приведенное) значение напряжения s ( Mises) определяется согласно следующей формуле:
Прим.: Значения приведенных мембранных усилий N и моментов M определяются по той же формуле (буква "s", обозначающая напряжения, соответственно заменяется буквами "N" и "M").