В процессе проектирования в столбце под воздействием RC сжатие и изгибе программа проверяет независимо трех поперечных сечений вдоль Высота столбца: верхний, нижний и располагается в главной детали (точное положение этого сечения определяется центральной момента в соответствии с правилами отдельных кодов).
В зависимости от требований норм положение поперечного сечения, а также, является ли эта колонна свободной или несвободной, определяют, учитываются ли в данном сечении второстепенные эффекты (очевидно, если коэффициент гибкости превышает предельное значение, указанное в нормах).
Для большинства норм железобетона поступают следующим образом:
Исключением являются, например, нормы Великобритании BS, согласно которым влияние гибкости учитывается также на концах колонны с несвободными узлами. Нормы ACI и CSA разрешают дополнительно увеличивать влияние гибкости для центрального поперечного сечения конструкции со свободными узлами.
Для этого выполняются три расчета поперечных сечений арматуры. Арматура рассчитывается в итеративном процессе. Количество итераций увеличивается до тех пор, пока программа не примет арматуру, которая обеспечит такую несущую способность во всех трех колонках поперечных сечений для каждого сочетания.
Под расчетным сочетанием понимают пару, состоящую из набора сочетаний нагрузки и положения поперечного сечения, для которого достигается самый большой коэффициент.
Три набора сил (т.е. продольная сила, моменты и, если необходимо, поперечные силы) для каждого сочетания в таблице определения нагрузки соответствуют трем поперечным сечениям, которые рассчитываются.
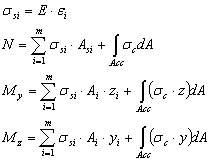
Расчет несущей способности колонны при двухосевом сжатии происходит следующим образом:


где Acc – это площадь сжатой части (согласно эпюре распределения s), E обозначает модуль Юнга.
На рисунке показана прямоугольная эпюра напряжений. Для некоторых норм эпюра параболически-прямоугольная.
Исключением является метод, доступный для польских норм PN-B-03264 (2002) и описанный в этих нормах.
Увеличение арматуры до достижения требуемой несущей способности (алгоритм оптимизации) происходит следующим образом: