Расчет трещинообразования по Итальянским нормам MINISTERO DEI LAVORI PUBBLICI DECRETO 9 GENNAIO 1996:
Подробные требования согласно п. B.6.6.3:
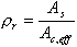
.
где:
c – защитный слой арматуры,
s – шаг стержней ≤ 14φ,
k 2 - коэффициент:
k 2 = 0.4 для рифленых стержней
k 2 = 0.8 для гладких стержней
k 3 – коэффициент:
k 3 = 0.125 при изгибе и изгибе с сжатием
k 3 = 0.250 при простом растяжении
k 3 = 0,25 * (σ1 + σ2) /2 σ1 для простого растяжении.
A c, eff = b eff* h eff
Для сечений полностью на растяжение b eff ≤ 40 см и h eff ≤ 40 см.
Для плит при изгибе h eff ≤ (h * x) / 2, где x – это высота сжатой зоны.
c – защитный слой арматуры ≤ 7.5φ
s – шаг стержней
Если s < 14φ:
B eff = B - ширина сечения.
h eff = c + 7.5φ.
Если s > 14φ: расчеты для каждой панели по отдельно.
beff = (14 + 1)φ - для плит и внутренних стержней балок
beff = c + 7.5φ - для угловых стержней
heff = c + 7.5φ.
Ac, eff = Σ (b eff * h eff ).

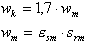
σ s – напряжение в растянутой арматуре в сечении, через которое проходит трещина
σ sr - напряжение в растянутой арматуре, для которой крайние волокна бетона увеличивают уровень напряжения до f ctm . Эти расчеты не учитывают арматурную сталь в свойствах сечения.
β 1 - коэффициент:
β 1 = 1,0 для рифлёных стержней
β 1 = 0,5 для гладких стержней
β 2 - коэффициент:
β 2 = 1.0 для одиночной кратковременной нагрузки
β2 = 0.5 для долговременных нагрузок или нагрузок, повторяющихся много раз.