Билинейная модель

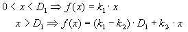
Параметры билинейной модели, определенные для положительных аргументов x>0 ( значение производной необходимо для определения жесткости):

Функция:

Производная (жесткость):

Ограничения: