锥齿轮的基本几何计算

输入参数

齿轮类型 - 根据根部和头部圆锥体的位置

传动比和齿数

压力角(工具轮廓角)α t

螺旋角 β m

轴角 Σ

外侧圆锥体上的切向模数 Met(用于公制计算)

外侧圆锥体上的切向径节 Pet(用于英制单位)

注: 模量和径节互为倒数值。

啮合齿顶高度 ha *

啮合间隙 c *

啮合齿根圆角 r f *

面宽 b 1 、b 2

变位系数 x = x 1 = - x 2

啮合齿厚变化 x t = x t1 = - x t2

辅助几何计算

单齿轮变位系数分布

根据强度计算设计

面宽设计

最大齿根圆角计算

计算的参数

 

中面中的法向压力角

 

tg α nm = tg α t cos β m

节面角

 

外部节径

 

d e1,2 = m et z 1,2

节锥上曲面线的外部长度

 

平均圆锥上曲面线的长度

 

R m = R e - 0.5 b

相对面宽

 

平均圆锥上的切向模数

 

平均圆锥上的法向模量

 

m mn = m mt cos β m

平均节径

 

d m1,2 = m mt z 1,2

等效齿数

 

等效节径

 

等效基底直径

 

d vb1,2 = d v1,2 cos α t

等效外径

 

d va1,2 = d v1,2 + 2 h ae1,2 m mt / m et

等效中心距

 

a v = 0.5 (d v1 + d v2 )

虚拟传动比

 

虚拟齿数

 

虚拟节径

 

虚拟基底直径

 

d bn1,2 = d n1,2 cos α t

虚拟外径

 

d an1,2 = d n1,2 + 2 h ae1,2 m mt / m et

基圆柱的虚拟螺旋角

 

sin β b = sin β m cos α nm

虚拟中心距

 

a n = 0.5 (d n1 + d n2 )

齿根缩减

 

k 1,2 = 0.02 (17 - z n1,2 )

k > 0 时,进行齿根缩减

齿顶

 

h ae1,2 = m et (h a * + x 1,2 - k 1,2 )

齿根

 

hf e1,2 = m et (h a * + c * - x 1,2 )

外径

 

d ae1,2 = d e1,2 + 2ha e1,2 cos δ 1,2

齿根直径

 

d fe1,2 = d e1,2 - 2 hfe1,2 cos δ 1,2 )

小端的外部直径

 

d ai1,2 = d ae1,2 (1 - φ R )

顶点距离

 

A 1,2 = R e cos δ 1,2 - h ae1,2 sin δ 1,2

外部斜角

 

切削角

 

齿厚(通常根据节径测量)

 

弦的面宽(法向)

 

s ke1,2 = s e1,2 cos 2 α t

超过弦的齿顶高度

 

啮合齿顶宽度(通常都测量)

 

 

其中:

 
   

齿轮的运转宽度

 

b w = b

啮合耐久系数

 

ε γ = ε α + ε β

无锥形最小变位系数

 

 

其中:

   

h a0 * = h a * + c * - r f * (1 - sin α t )

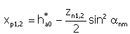
无底切最小变位系数

 

无底切最小变位系数

 

末端螺旋角

 

sinβ e = sinβ m R m /R e

末端法向压力角

 

tanα ne = tanα t cosβe