传递的转矩
其中:
|
P |
功率 [kW] |
|
|
n |
速度 [rpm] |
计算最小轴直径
1. 轴内径 d h > 0
a)
b) 如果 d min ≤d h -> d min = 1.1 d h [mm]
c) 如果 d min ≤ 1.5 d h -> d min = 1.5 d h [mm]
2. 轴内径 d h = 0

其中:
|
d min |
最小轴直径 [mm] |
|
|
d h |
轴内径 [mm] |
|
|
T |
转矩 [Nm] |
|
|
K a |
应用系数 |
|
|
K f |
疲劳寿命系数 |
|
|
S v |
安全系数 |
|
|
τ A |
许用剪切应力 |
通用计算
|
|
轴的作用力范围 |
|
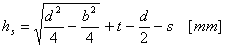
h k = h - h s - 2 s [mm] |
轮毂作用力的范围 |
![]() |
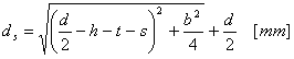
作用力范围的轴直径 |
![]() |
作用力范围的轮毂直径 |
|
|
轴的作用力 |
|
|
轮毂的作用力 |
|
其中: |
|
T |
转矩 [Nm] |
|
|
F s |
轴的作用力 [N] |
|
|
F h |
轮毂的作用力 [N] |
|
|
K a |
应用系数 |
|
|
K f |
磨损寿命系数 |
|
|
K w |
应用系数 |
|
|
K m |
载荷分布系数 |
|
|
S v |
安全系数 |
|
|
d |
轴直径 [mm] |
|
|
d s |
力 F s 作用于的轴直径 [mm] |
|
|
d h |
力 F d 作用于的轴直径 [mm] |
|
|
N |
槽的数量 [-] |
|
|
h |
坡口高度 |
|
|
h s |
轴上力作用点的高度 [mm] |
|
|
h h |
轮毂上力作用点的高度 [mm] |
|
|
b |
槽的宽度 |
|
|
t |
轴中槽的深度 [mm] |
|
|
s |
倒角 |
|
|
p Dmins |
最小许用压力(槽,轴)[MPa] |
|
|
p Dminh |
最小许用压力(槽,轮毂)[MPa] |
传递转矩的最小键长
|
1. 固定接头: |
a) |
|
b) |
|
|
L min = min(L mins , L minh ) |
|
|
2. 柔性接头: |
a) |
|
b) |
|
|
L min = min(L mins , L minh ) |
|
|
其中: |
|
F s |
轴的作用力 [N] |
|
|
F h |
轮毂的作用力 [N] |
|
|
K a |
应用系数 |
|
|
K f |
磨损寿命系数 |
|
|
K w |
应用系数 |
|
|
K m |
载荷分布系数 |
|
|
S v |
安全系数 |
|
|
d |
轴直径 [mm] |
|
|
N |
槽的数量 [-] |
|
|
h s |
轴上力作用点的高度 [mm] |
|
|
h h |
轮毂上力作用点的高度 [mm] |
|
|
p Dmins |
最小许用压力(槽,轴)[MPa] |
|
|
p Dminh |
最小许用压力(槽,轮毂)[MPa] |
最小许用压力
|
1. 固定接头: |
a) |
|
b) |
|
|
2. 柔性接头: |
a) |
|
b) |
|
|
其中: |
|
F s |
轴的作用力 [N] |
|
|
F h |
轮毂的作用力 [N] |
|
|
K a |
应用系数 |
|
|
K f |
磨损寿命系数 |
|
|
K w |
应用系数 |
|
|
K m |
载荷分布系数 |
|
|
S v |
安全系数 |
|
|
d |
槽截面的内部直径 [mm] |
|
|
N |
槽的数量 [-] |
|
|
h s |
轴上力作用点的高度 [mm] |
|
|
h h |
轮毂上力作用点的高度 [mm] |
|
|
l f |
有效键长度 [mm] |
强度校核
p mins ≤ p Ds
p minh ≤ p Dh
其中:
|
p mins |
轴的最小计算剪切压力 [MPa] |
|
|
p minh |
轮毂的最小计算剪切压力 [MPa] |
|
|
p Ds |
轴的许用压力 [MPa] |
|
|
p Dh |
轮毂的许用压力 [MPa] |
简化的计算
传递转矩的最小键长
|
1. 固定接头: |
![]() |
|
2. 柔性接头: |
![]() |
|
其中: |
|
T |
转矩 [Nm] |
|
|
K a |
应用系数 |
|
|
K f |
磨损寿命系数 |
|
|
K w |
应用系数 |
|
|
K m |
载荷分布系数 |
|
|
S v |
安全系数 |
|
|
d |
轴直径 [mm] |
|
|
N |
槽的数量 [-] |
|
|
h |
坡口高度 |
|
|
s |
倒角 |
|
|
h st |
接头高度 h st = h - 2 s [mm] |
|
|
p Dmin |
轴支承面上的许用压力(槽或轮毂)[MPa] |
许用压力
|
1. 固定接头: |
![]() |
|
2. 柔性接头: |
![]() |
|
其中: |
|
T |
转矩 [Nm] |
|
|
K a |
应用系数 |
|
|
K f |
磨损寿命系数 |
|
|
K w |
应用系数 |
|
|
K m |
载荷分布系数 |
|
|
S v |
安全系数 |
|
|
d |
轴直径 [mm] |
|
|
N |
槽的数量 [-] |
|
|
h |
坡口高度 |
|
|
s |
倒角 |
|
|
h st |
接头高度 h st = h - 2 s [mm] |
|
|
l f |
有效键长度 [mm] |
强度校核
p min ≤ p Ds
p min ≤ p Dh
其中:
|
p min |
最小计算 h/2 压力 [MPa] |
|
|
p Ds |
轴的许用压力 [MPa] |
|
|
p Dh |
轮毂的许用压力 [MPa] |