|
|
对于每个皮带轮 |
|
F 2 - F 1 + F p = 0 |
|
|
|
|
|
|
|
|
|
对于驱动轮
|
|
v ≤ v max |
|
|
f b ≤ f max |
F c = mv 2
F Tmax = k 1 F p + F c
F 1 = F tmax
F 2 = F 1 - F p
对于单个从动轮和空转轮
i - 皮带轮的指数
F Pi = P xi F p
F 1i = F 2i-1
F 2i = F 1i + F p i
其中:
对于同步皮带轮
对于张紧轮
对于整个皮带驱动
需要的皮带安装张力按如下表达式通过驱动轮的力进行确定
使用空转轮的功率传动示例
|
驱动轮 |
平导轮 |
从动轮 |
|
P x1 = 1 |
P x2 = 0 |
P x3 = 1 |
|
|
|
F P3 = P x3 F p |
|
|
|
|
|
|
|
|
|
|
F 12 = F 21 |
|
|
|
F 22 = F 12 + F p2 = F 12 |
|
|
F c = m v 2 |
|
|
|
F Tmax = k 1 F p + F C |
- |
F 13 = F 22 |
|
F 11 = F Tmax |
- |
F 23 = F 13 + F p3 = F 11 |
|
F 21 = F 11 - F p |
- |
|
|
|
- |
- |
所用变量的含义:
|
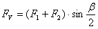
F p |
有效拔模 [N] |
|
F 1 |
给定皮带轮输入端的皮带张力 [N] |
|
F 2 |
给定皮带轮输出端的皮带张力 [N] |
|
z |
给定皮带轮的齿数/皮带齿数 [-] |
| β |
接触弧/侧倾的齿角 [度] |
|
P |
传动功率 [W] |
|
P R |
给定传动布局的皮带额定功率 [W] |
|
c L |
安全系数 [-] |
| β |
接触弧 [deg] |
|
T |
作用于给定皮带轮的扭矩 [Nm] |
|
n |
给定皮带轮的速度 [rpm] |
|
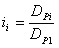
D p |
皮带轮节径 [m] |
|
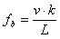
v |
皮带速度 [m/s] |
|
k |
皮带传动中的皮带轮数 [-] |
|
L |
皮带节距长度 [m] |
|
P |
传动功率 [W] |
|
m |
给定宽度的皮带的比重 [Kg/m] |
|
k 1 |
皮带拉伸系数 [-] |
|
F p |
有效拔模 [N] |
|
F c |
离心力 [N] |
|
F t |
最小皮带安装张力 [N] |
|
P xi |
给定皮带轮的功率比 [-] |
|
D pi |
皮带轮节径 [m] |
|
i |
给定皮带轮的传动比(速度比)[-] |
|
T i |
作用于给定皮带轮的扭矩 [Nm] |
| η |
效率 [-] |
|
p b |
周节 [m] |
|
D |
张紧轮公称直径 [m] |
|
H |
皮带高度 [m] |
|
h T |
皮带齿高度 [m] |
|
a |
节距线偏移 [m] |