皮带长度在基准或有效系统中确定。因此,首先要确定每个皮带轮的基准或有效直径。皮带轨迹以单个皮带轮位置为基础。调整滑动皮带轮位置以达到标准皮带长度要求。计算使用迭代解决方案来找到最接近所需(或当前)滑动皮带轮位置的适当滑动皮带轮位置。
皮带轮直径
|
带凹槽的皮带轮 |
D e = D w + 2 h w |
|
D p = D w + 2 a |
|
D d = D w |
|
|
张紧轮顺时针方向 |
D e = D + 2 h |
|
D p = D + 2 (h - h w + a) |
|
D d = D + 2(h - h w ) |
|
|
张紧轮逆时针方向 |
D e = D |
|
D p = D + 2 (h w - a) |
|
D d = D + 2 h w |
使用 2 个皮带轮的功率传动示例
本示例使用基准系统。
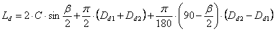
接触弧
基准皮带长度
中心距
确定新传动装置的中心距时,建议使用下面的公式
0.7 (D d1 + D d2 ) ≤ C ≤ 2(D d1 + D d2 )
所用变量的含义:
D W |
公称直径(基准或有效)[m] |
D e |
有效(外部)皮带轮外径 [m] |
h w |
公称高度(对于有效系统,h w = 0)[m] |
a |
节距线偏移(对于有效系统,该值为负)[m] |
D |
张紧轮公称外径 [m] |
h |
皮带高度 [m] |
D d |
皮带轮基准直径 [m] |
C |
中心距 [m] |
β |
接触弧 [deg] |
L d |
基准皮带长度 [m] |