mag

返回向量的幅值。这是向量的长度。

float mag(vector vector)

vector 是需要求出幅值的向量。

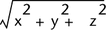
通过使用以下公式,mag 函数可以将向量转化为浮点数。

示例

mag(<<7,8,9>>)

返回 13.928。