冷却液粘度模型

冷却液的粘度、流动速率和雷诺数是相互关联的。

冷却液的粘度模型可表示为以下方程式:

其中:

流动速率、雷诺数和粘度之间的关系

流动速率和粘度之间的关系源于通过管道的不可压缩粘性流理论,开始于达西-魏斯巴赫公式:

其中:

替换上方的 ,我们可以得出:

上方方程式中的摩擦系数 与雷诺数 相关(如下所示)。对于较低的雷诺数,即 :

对于较高的范围,即雷诺数 ,摩擦系数为

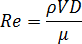
,其中

雷诺数 与粘度 相关, 可通过以下方程式表达: