执行使用长纤维复合材料的纤维取向分析时,可选择各向异性旋转扩散 (ARD) 模型来计算纤维取向。
长度超过 1 mm 的纤维通常被视为长纤维。在注射成型零件中,长纤维材料内流动方向的纤维定向通常比短纤维材料内的弱。Folgar-Tucker 和降低的应变闭合模型中所使用的各向同性扩散不能捕获长纤维材料中纤维与纤维相互作用的行为,也不能同时准确地预测所有纤维取向分量。
各向同性扩散被各向异性旋转扩散 (ARD) 替换,各向异性旋转扩散在通过单位矢量的全部取向跟踪的单位球体表面上进行定义,由 Phelps 和 Tucker 开发:

这里假定旋转扩散张量
是
和
的二次函数,定义为:

其中,每个
为标量常数,其值通过匹配实验平稳状态取向并要求稳定取向来确定。设置
和
(j=2,......,5) 和 可将 ARD 模型简化为 Folgar-Tucker 模型。
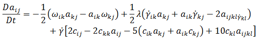
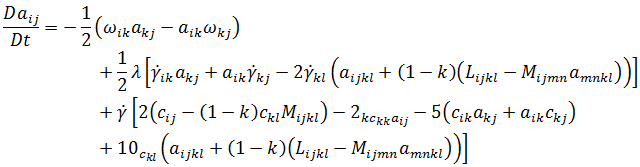
RSC 版本 ARD 模型(ARD-RSC 模型)也是按照以下公式开发出来的:

Phelps, J. 和 C. L. Tucker III,An Anisotropic Rotary Diffusion Model for Fiber Orientation in Short- and Long-Fiber Thermoplastics。 Journal of Non-Newtonian Fluid Mechanics 156(3): 165–176 (2009)。