底层覆晶粘度模型(反应材料 Herschel-Bulkley-WLF 粘度模型的修正)专门用于底层覆晶封装。
底层覆晶粘度模型包含一个额外条件
(厚度),如下所示:
其中
为粘度 (Pa.S)
为型腔厚度(米)
是参考厚度为
处的粘度,和
且
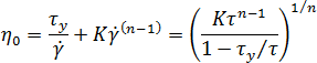
是拟合数据系数。 参考厚度处的粘度可通过以下方程得到:
其中
为粘度 (Pa s)
为剪切速率 (1/s)
为温度 (K)
为固化程度 (0–1) 和
。
、
、
、
、
、
、
和
(冻结转换)为数据固定系数。