冷却是真正的 3D 模具冷却分析产品。它使用由 BEM(边界元法)发展而来的数值方法。从物理角度来说,BEM 在求解过程中将所有边界作为热源(获得/损失热)。
模具中的温度是由合并所有源的影响而确定的。
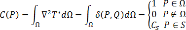
3D 模具的平衡温度场可通过拉普拉斯方程表示为:
为温度
为拉普拉斯运算符
表示模具的表面区域和内部
,边界条件统一为:
为模具材料的热传导率
表示模具边界上朝外的法向衍生,
是模具边界上的等效热传到系数,
是周围环境的等效温度,
表示一个特定的点,
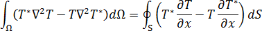
为模具表面(边界) 若要了解 BEM 如何将所有边界条件应用到模具温度场的解,让我们从加权残值表达式开始:
其中,
是权重函数。
通过利用格林第二恒等式,等式 3 可转化为以下形式:
选择
因为等式 1 的基本解定义如下:
其中,
为狄拉克 δ 函数。对于 3D 模具,此函数可以表示为:
和
是空间中的两个点,
表示两点之间的距离, 
和
是与实体内角成比例的常量。
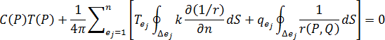
划分成
个单元,并且假定温度和温度梯度在每个边界单元上恒定,则等式 7 可离散化为以下形式:
为一个特定单元
为模具材料的热传导率
是单元
的温度 温度影响条件(所谓的 H 条件)表示单元
上 到点
处的温度影响强度,具体由此表达式给出:
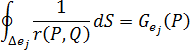
热通量影响条件(或所谓的 G 条件)表示单元
上 到点
处的热通量输入影响强度,具体由此表达式给出:
假设
是
单元的质心。如果我们将等式 9 中的
替换为
,我们将获得如下所示的
线性方程式: