模具填充期间对三维纤维取向的数值预测可基于悬浮液中刚性粒子的运动方程。
分析由两个可识别条件组成:
液体动力对粒子运动的影响可通过 Jeffery 方程(假设纵横比无穷大)进行描述。该理论严格适用于稀悬浮液,但已被证实可提供与实验数据一致的有用结果。
交互作用条件由 Folgar 和 Tucker 提出,纳入此条件是为了建模纤维之间机械作用的随机效应。它具有扩散项形式,交互作用的频率与应变率的幅度成正比。交互作用条件可用于减少 Jeffery 模型为一些流动条件所预测的高度一致的取向状态,以提高与实验结果的一致性。
三维纤维取向的计算与模具填充分析同时执行,并且针对同一个有限元网格。每个三角形单元可视为由多个层组成,这些层对局部模具厚度进行细分。每个层可以由该层经过的栅格点定义。成型的中性面经过网格点 1。对于网格中的每个单元,会在每个层上都计算一个取向解。这样便可以观察一组平面上的取向分布变化,这些平面通过成型的横截面且平行于模具表面。
每个单元的三维取向分辨率通过第二顺序张量进行描述。对于图形表示,将生成取向张量的特征值和特征矢量。特征矢量表示纤维排列的主要方向,特征值提供关于这些方向上纤维排列的统计比例(0 至 1)。该信息用于定义取向椭圆,这种椭圆可以为每个单元完整地描述纤维的排列分布。下图中展示了一个常规取向椭圆。

出于显示目的,此 3D 椭圆被投影到各单元的平面上,以生成平面椭圆。这将创建有用的取向分布表达,因为通过投影消除的塑件厚度取向部分通常非常小。在此表达中,近似随机分布显示为趋于圆形的椭圆(针对高度一致的分布),而椭圆将退化为一条线。
第二顺序取向张量
将提供对注射成型中纤维取向的有效描述。该张量由九部分组成,使用下标可将张量项分为:
通常应用这些轴:
原来的九个组成部分简化为五个独立的部分,因为:
和
这三个主要的取向组成部分已经将取向列入了考虑范围:
,纤维取向在流动方向,变化范围从 0 至 1.0。
,纤维取向垂直于流动方向,变化范围从 0 至 1.0。
,取向倾斜在 1-3 平面中,变化范围从 -0.5 至 0.5。 注意:流动方向取向项
包含大多数与微观结构有关的定量信息,对流动、工艺及材料变化最敏感。
可将我们关注的复合材料视作粘性介质中悬浮的纤维或颗粒。这些纤维之间可能存在机械和/或液体动力学的交互作用。
悬浮液可以为稀的、半浓的或浓的,如下所述:
稀悬浮液中纤维永不接近彼此且不互相影响。
半浓悬浮液在纤维之间无机械接触,但液体动力相互作用变大。
在浓悬浮液中,纤维取向的行为变得非常复杂,因为同时施加了纤维的机械和液体动力相互作用。
Jeffery 首先模拟了单根纤维浸入不可压缩的大牛顿流体的运动。Jeffery 的模型只适用于非常稀的悬浮液,以至于任何纤维之间的相互作用(甚至液体动力相互作用)微不足道。
评估悬浮液浓度的重要测量值是纤维之间的平均距离。
考虑纤维的直径 (d) 和长度 (L)、纵横比 (L/d)、纤维浓度 (c)(或体积分数 )并且长度分布均匀,则典型的浓度分类等级如下:
例如,如果 L/d 是 10(用于复合材料中增强纤维的较小值),则对于 Jeffery 的方程要应用的纤维体积含量必须小于 1%。
对于商用材料,纤维纵横比 L/d 通常等于或大于 20,所以针对上述含量的值如下:
这些分类等级的界值会通常会转换为约 0.5% 和 10% 的重量。
大多数商用复合材料中纤维重量占 10% 至 50%,可视为浓悬浮液。
对于半浓悬浮液,Dinh 和 Armstrong 已经提出了模型。纤维的取向遵照液体的体积变形,不同的是粒子无法拉伸。
对于浓悬浮液,名为“相互作用系数”的项(或
)已纳入由 Folgar 和 Tucker 提出的纤维取向唯象模型:
项决定着扩散强度项。 我们已经发现通过添加可说明纤维相互作用的旋转扩散项来改善取向预测,因为 Jeffery 的方程本身并没有在质量上给出纤维取向的准确预测。
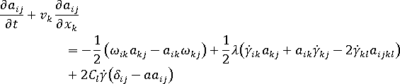
迄今,Folgar-Tucker 模型一直是浓悬浮液中进行纤维取向建模的最佳选择。该模型的形式已由 Advani 和 Tucker 给出,如下所示:

其中:
对于 3D 取向等于 3,对于平面 (2D) 取向等于 2
表示速度分量
是涡度张量,
是变形速率张量。
是由粒子几何确定的常量
是单位张量
是相互作用系数 来自 Advani 和 Tucker 的纤维取向模型的张量形式目前仍不适合作为第二顺序取向张量的导数,因为它包含第四顺序张量
。
第四顺序张量的导数包含第六顺序取向张量,以此类推。建立适当导数的唯一方法是按照第二顺序张量估算第四顺序张量。
此近似值称为“闭合近似值”。Advani 和 Tucker 已经测试了多种近似值。然而,近似本身存在的一些错误可能会引入到模拟结果。因此,闭合近似是与此模型关联的最具挑战性的问题。不存在可以使纤维取向模型表达式适合所有取向模型部件的
值。
对 Advani 和 Tucker 纤维取向模型形式的测试表明控制纤维取向预测精度的方法有两种:
查找更精确的闭合。
查找考虑到闭合差的新交互作用模型。
虽然第一种方法将是首选,但尚未找到针对
的几十年内令人满意地覆盖剪切和拉伸流动范围的闭合。
闭合近似可用于预测远远超出平面外的取向。此结果已通过 Autodesk 提出的纤维取向模型形式进行了处理。