从“类型”下拉列表中选择“正交各向异性三维”后,可使用下列材料部分:“常规”、“刚度”、“剪切力”、“泊松比”、“热膨胀”、“许用值”和“热”。
材料稳定性应满足以下要求:
如果不满足任一条件,将发出警告消息。
有时可能很难找到所有九个各向异性常数。在某些实际问题中,可能会将材料属性简化为法线各向异性,此时材料为平面(即平面 1-2)内各向同性,并且在与该平面呈正交的方向上具有不同的属性。在各向同性的平面中,属性简化为:
并且
和
。
对于法线各向异性,则存在五个独立材料常数(即
、
、
、
、
和
)。如果材料具有平面各向异性(即材料仅在一个平面中为正交各向异性),则弹性常数简化为七个(即
、
、
、
、
、
和
)。
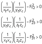
这会为该理论的实际应用带来复杂性。鉴于此原因,建议将 F12、F23 和 F31 设定为零。
对于热分析,用户可在“热”区域输入传导率矩阵、比热和质量密度的值。质量密度是重复的,因为热分析和结构分析中都可能要用到它。