在“物理属性”窗体的“类型”下,选择“壳单元”选项。有两个可用选项:“标准”和“层压板”。
-
标准:
-
层压板:
- “层压板”选项允许用户定义复合层压板属性。单击“新建层压板”按钮。此时将打开“层压板”对话框。
- “层选项”可用于执行以下操作:
- 添加:添加层。
- 材料:定义新材料。
- 全局层:如下图所示定义全局层。
- 上移:将选定层上移一步。
- 下移:将选定层下移一步。
- 对称:创建选定的一个/多个层的对称层。
- 反对称:创建选定的一个/多个层的反对称层。
- 撤消:撤消执行的操作。
- 重做:重做执行的操作。
- 删除:删除选定的一个/多个层。
- 剪切:剪切选定的一个/多个层。
- 复制:复制选定的一个/多个层。
- 粘贴:粘贴剪切或复制的一个/多个层。
- 导入:导入 csv 格式的层详细信息。
- 导出:导出 csv 格式的层详细信息。
- 重复:允许用户为选定的一个/多个层创建多层。
- 使用全局层:允许用户启用“全局层”列。
- 铺层:允许用户将层从“铺层底部”翻转为“铺层顶部”。此选项将以直观的方式翻转层。始终以底部铺层格式导出 Nastran 文件。
- 在“层选项”中单击“添加”,启动第一层定义。此层将是铺层中的最底层。
- 层 ID:复合层的每个层(图层)都有唯一的 ID。当在此对话框中创建层时,Autodesk Nastran In-CAD 会自动生成这些 ID。这些 ID 不能更改。
- 材料:每个层都可以具有不同的材料。要从此下拉菜单中选择材料,应在“材料”下先预定义材料。
- 厚度:每个层都可以有自己的厚度值。
- 角度:这是层的方向角度。此角度是相对于“材料方向”角度测量的。零角度层与材料方向一致。
- 应力/应变:通过将其设置为“打开”或“关闭”可以控制每个层上的应力输出。
-
层压板属性:
- 层压板选项:允许用户定义不同形式的层压板,例如 SYM、HCS、FCS、ACS、SME 或 SMC。
- 如果 LAM = SYM,则将仅指定单元中心线一侧上的层。以底部图层为 1,依次对层进行编号。如果在 LAM = SYM 时需要的层数为奇数,则中心层厚度 (Ti) 应为实际厚度的一半。
- 如果 LAM = HCS、LAM = FCS 或 LAM = ACS,则为了面层稳定性索引输出,将定义复合夹层。HCS 指定蜂巢状芯层材料,FCS 指定成型芯层材料,ACS 根据指定的芯层材料选择 HCS 或 FCS。
- 如果 LAM = SME,则将模糊层效应并忽略堆叠顺序。如果 LAM = SMC,则将使用等效的正交各向异性属性定义复合夹层。
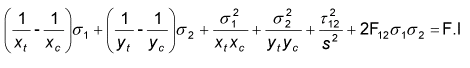
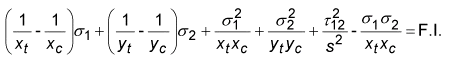
- 失效理论:层失效理论。允许使用以下理论。如果为空,则将不执行任何破坏计算。“Hill”被设置为默认失效理论。
- “HILL”对应希尔理论。
具有相等拉伸强度和压缩强度的正交各向异性材料。
- “HOFF”对应霍夫曼理论。
具有不等拉伸强度和压缩强度且处于常规平面应力状态下的正交各向异性材料。
- “TSAI”对应 Tsai-Wu 理论。
具有不等拉伸强度和压缩强度且处于常规平面应力状态下的正交各向异性材料。
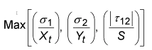
- “最大应力”对应最大应力理论。
- “最大应变”对应最大应变理论。
- “LARC02”对应 NASA LaRC 理论。
正交各向异性材料由处于常规平面应力状态下的单向层组成。有关详细信息,请参阅“Autodesk Nastran 用户手册 - 参考 5”。
- “PUCK”对应 Puck PCP 理论。
正交各向异性材料由处于常规平面应力状态下的单向层组成。有关详细信息,请参阅“Autodesk Nastran 用户手册 - 参考 12 和 13”。
- “MCT”对应 Multicontinuum 理论。
正交各向异性材料由处于常规平面应力状态下的单向层或无花纹编织物组成。有关详细信息,请参阅“Autodesk Nastran 用户手册 - 参考 20、21 和 22”。
- 强度比:此选项控制“Tsai 强度比”输出,该输出可替代复合单元层结果输出中的失效索引。如果此选项设置为“打开”,则允许定义参数 PARAM、STRENGTHRATIO、ON,且将计算“Tsai 强度比”。强度比被认为比失效索引更有用,因为它准确指明了如何更改所应用的载荷以获得最佳层性能。
- 允许的接合剪切应力:此值定义接合材料的层间剪切应力。要获取“接头破坏索引”输出,则需要此值。
- 底部纤维距离:默认情况下,代表总厚度的一半。可通过选中左侧的框并在右侧框中输入新值,来进行更改。
- GE (阻尼系数):此值定义结构单元阻尼系数,它是要在动力学分析中使用的临界阻尼比
的两倍。已计划在今后的更高版本中支持该功能。
- NSM:允许用户定义每单位面积的非结构质量。
(参考温度):此值定义复合层(所有层)的参考温度,此温度将用于与温度相关的材料属性。将在更高版本中支持此功能。
(总厚度):显示在层中指定的总厚度。
-
层创建技术:
- 有多种定义不同层属性的便捷方式。
- 在第一行中,单击“添加”,然后单击该行的“材料”列并选择材料。将自动加载其余列的默认值。
- 现在,选择层 ID 1。
- 在重复按钮旁的框中输入 2(默认为 1)后,单击“重复”按钮。第一行将复制两次。结果如下图所示。
- 从上到下将角度更改为 45、0 和 -45。
- 现在,选择所有“层”。然后单击“对称”按钮。
- 这将生成选定层的镜像行。
- 结果如下图所示。
- 同样,“反对称”将生成镜像行,但层角度的符号相反。
- 可以选择多个“层”,然后在字段上单击鼠标右键以进行更改。然后选择“编辑”。
- 更改任何层的各自属性。所有对应属性将同时更改。
-
层对话框示例: