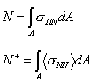
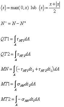
Internal forces in the table

The equivalent resultant forces available in the result table are calculated based on the following formulas

<…> - (Macauley brackets) or the positive part operator expressed as: