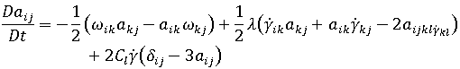
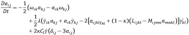
「減少應變閉合」(RSC) 模型是執行纖維配向分析時,計算纖維配向的一個選項。

是纖維配向張量。
是旋度張量,
是變形率張量。
是纖維互動係數,即純量現象參數,其值透過擬合實驗結果來確定。此項已加入到原始 Jeffery 形式中來說明纖維之間的互動。 
。
由以下項取代: 
和
定義如下: 

在此,
是以下配向張量的第 p 個特徵值:
;
是以下配向張量的第 p 個特徵向量的第 i 個分量:
。
純量係數
是現象參數,
可用來為慢速配向動態塑型。純量係數
越小,配向張量隨流發展的速度越慢,配向公模仁圖層也會越厚。當
= 1 時,RSC 模型會簡化為原始 Folgar-Tucker 模型。
J. Wang, J.F. O’Gara, and C.L. Tucker III, An Objective Model for Slow Orientation Dynamics in Concentrated Fiber Suspensions: Theory and Rheological Evidence. Journal of Rheology, 52(5):1179-1200 (2008).