預成型坯的孔隙率和滲透率模型
纖維墊的孔隙率和滲透率會影響「反應式成型」分析的充填陣列。
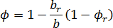
預成型坯的孔隙率透過下列方程式描述:
,其中:
為孔隙率
為纖維墊的厚度
具有下標
的值 為指定參考厚度時的值
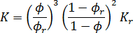
預成型坯的滲透率由下列方程式描述:
,其中
是滲透率。
上層主題:
模擬模型