覆晶充填黏度模型 (修改反應式材料的 Herschel-Bulkley-WLF 黏度模型所得) 專門用於覆晶充填封膠。
覆晶充填黏度模型包括一個額外項
(厚度),如下所示:
其中,
為黏度 (Pa. sec.)
為母模仁厚度 (公尺)
為參考厚度為
時的黏度,
和
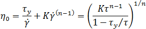
為資料調適係數。 厚度為參考厚度時的黏度可透過下列方程式計算得出:
其中,
為黏度 (Pa s)
為剪切率 (1/s)
為溫度 (K)
為固化程度 (0 - 1),
、
、
、
、
、
、
、
與
(膠化轉換) 為資料調適係數。