冷卻劑黏度模型

冷卻劑的黏度、流速以及雷諾數是互相關連的。

冷卻劑黏度模型由以下方程式計算得出:

其中:

流速、雷諾數以及黏度之間的關係

流速與黏度之間的關係可以從流經管內的不可壓縮黏流理論推導得出,以達西-威斯巴哈 (Darcy-Weisbach) 公式開始:

其中:

將如上所述的 代入公式,就得到了:

上述方程式中的摩擦係數 與雷諾數 相關,對於較低的雷諾數 (即 ), 該係數的計算公式為:

對於較高的範圍 (其中雷諾數由 計算得出),摩擦係數為

(其中 )

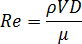
雷諾數 與黏度 相關, 由以下方程式計算得出: