冷卻是純 3D 模具冷卻分析的結果。它使用從 BEM (邊界元素法) 發展而來的數值法。從物理角度來看,BEM 會在求解過程中,將所有邊界視為熱源 (獲得/流失熱)。
模具中的溫度由所有來源的綜合影響決定。
3D 模具的平衡溫度場可由 Laplace 的方程式表示:
為溫度
為 Laplace 運算子
代表模具的表面面積和內部面積
,且已將邊界條件統一為:
為模具材料的熱傳導係數,
為模具邊界的外向法向導數,
為模具邊界的相等熱傳導係數,
為周圍環境的相等溫度,
表示特定點,
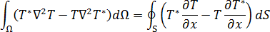
為模具表面 (邊界) 為了瞭解 BEM 如何將所有邊界條件套用至模具溫度場求解,讓我們從加權餘數運算式開始:
其中,
為加權函數。
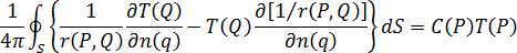
您可以使用格林第二恆等式,來將方程式 3 轉換為以下形式:
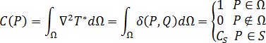
選擇
做為方程式 1 的基本解,其定義方式如下:
其中,
為 Dirac delta 函數。針對 3D 模具,可以將其描述為:
與
是空間中的兩點,
表示這兩點之間的距離, 
,
為與內部立體角成比例的常數。
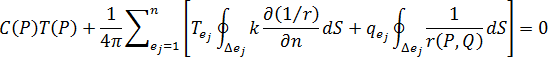
分割成
個元素,並假定每個邊界元素上的溫度與溫度梯度恆定,則可以將方程式 7 離散為以下形式:
為特定元素
為模具材料的熱傳導係數
為元素
的溫度 溫度影響項 (或稱為 H 項) (表示溫度對元素
[針對點
] 的影響強度),由以下表示式計算得出:
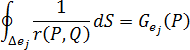
熱通量影響項 (或稱為 G 項) (表示熱通量輸入對元素
[針對點
] 的影響強度),由以下表示式計算得出:
假設
為元素
的形心。如果我們用
取代方程式 9 中的
,那麼我們可以獲得
個線性方程式,如: