若要簡化計算,可以將具有非圓形剖面形狀的樑元素轉換為等效圓形樑。
也需要考慮到原始形狀的熱傳導。「形狀係數」(實際剖面形狀的外圓周與具有等效剖面面積的圓形樑圓周之比) 可針對轉換的樑應具有的額外表面面積進行調整。
下表列示定義剖面形狀的可用剖面形狀及所需尺寸。
| 形狀 | 所需尺寸 |
|---|---|
| 圓形 | 直徑 (2r) |
| 環形 | 外徑 (do)、內徑 (di) |
| 半圓形 | 直徑 (2r)、高度 (t) |
| 矩形 | 寬度 (a)、高度 (b) |
| 梯形 | 頂部寬度 (b)、底部寬度 (a)、高度 (h) |
| U 形 (圓角梯形),其中 H = D | 寬度 (W)、高度 (H) |
| U 形 (圓角梯形),其中 H > D | 寬度 (W)、高度 (H)、直徑 (d) |
| 橢圓 | 長半徑 (a)、短半徑 (b) |
| 其他 | 等效直徑、形狀係數 |
下表顯示定義非圓形樑剖面形狀的所需尺寸,並顯示針對每個樑形狀定義等效直徑與形狀係數的計算。
| 形狀 | 剖面幾何圖形 | 等效直徑,以等效剖面面積為基礎 | 形狀係數 |
|---|---|---|---|
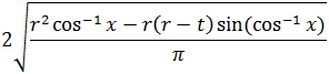
| 半圓形 |
|
|
|
| 矩形 |
|
|
|
| 矩形 |
|
|
|
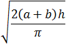
| 梯形 |
|
|
|
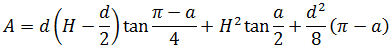
| U 形 (或圓角梯形),其中 H = D |
|
|
|
| U 形 (或圓角梯形),其中 H > D |
|
其中,
|
其中,
|
| 橢圓 |
|
|
|
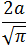
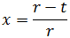
有一個矩形流道的剖面寬度 (a) 為 5 mm,高度 (b) 為 3 mm。
若使用以上公式,此流道可由直徑為
即 4.37 mm 的圓形樑元素塑型。
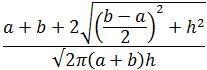
流道所需要的形狀係數為
即 1.16。
為此樑元素塑型時,請選取
()。在「剖面為」方塊中,選取「其他形狀」。按一下「編輯尺寸」,然後在出現的「剖面尺寸」對話方塊中輸入等效直徑 (4.37) 與形狀係數 (1.16) 的計算值。