天花板上方的空間,當做為回氣路徑時,為天花板回氣靜壓箱。不同於傳統的管道式回氣,靜壓箱可能在路徑中具有多個熱源。這些熱源可能是來自照明與變壓器的輻射和對流荷載;來自相鄰牆、屋頂或玻璃的傳導荷載;或靜壓箱內的管道和配管系統。
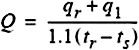
下列方程式中展示如何在引擎中計算靜壓箱的溫度和傳熱:
(35)
(36)
(37)
(38)
(39)
其中
= 從靜壓箱通過天花板之空間的熱增量,Btu/h
= 從靜壓箱通過樓板上方的熱損失,Btu/h
= 依回氣「挑選」的熱增量,Btu/h
= 回氣量,Btu/h
= 靜壓箱透過回氣的光源熱增量,Btu/h
= 空間的光源熱增量,Btu/h
= 從靜壓箱下方通過樓板的熱增量,Btu/h
= 來自外牆的熱增量,Btu/h
= 空間冷卻荷載,包括
、
和/或
的適當處理,Btu/h
= 靜壓箱溫度,°F
= 空間溫度,°F
= 樓板上方的空間溫度,°F
= 提供溫度,°F

典型回氣靜壓箱的概要圖