Vzorce pro výpočty hřídelů

Tyto vzorce jsou používány k vyřešení hřídele (s jedním nebo dvěma řezy) nebo nosníku (s jedním stálým řezem) násobnými podpěrami a zátěžemi.

Hřídel / nosník je srovnán s osou Z. Je-li vliv hustoty materiálu zahrnut do výpočtu, bude vektor gravitace srovnán s osou Y.

Smykové síly:

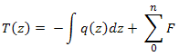
Ohybové momenty:

Úhel vychýlení:

kde:

 

E

modul pružnosti v tahu

 

J

moment setrvačnosti

 

G

modul tuhosti

  β

poměr posunu ve smyku

Vychýlení:

Napětí v ohybu:

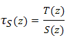
Smykové napětí:

Napětí v krutu:

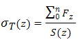
Napětí v tahu:

Redukované napětí:

kde:

  σ B napětí v ohybu
  σ T

napětí v tahu

  τ napětí v krutu
  τ S smykové napětí
  α α = 3 pro HMH
    α = 4 pro Tresca-Guest

Vzorový výpočet

Modul pružnosti E = 210 000 MPa

Modul tuhosti G = 81 000 MPa

Poměr posunu ve smyku β = 1,118

Režim redukovaného napětí: HMH

Nezahrnout hustotu materiálu.

Podpůrné síly:

Maximální napětí ve smyku:

Maximální napětí v krutu:

Maximální moment:

Maximální napětí v ohybu:

Maximální redukované napětí:

Úhel kroucen:í