Výpočty pevnostních poměrů klínových řemenů

Použité obecné rovnice

Kde m je měrná hmotnost řemene definovaná jako m = S ρ

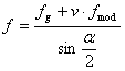
Upravený součinitel dané řemenice

f = f g + v f mod

Základní rovnice pro hnací řemenici a řemen

Výkon určený k přenosu

Rychlost řemene

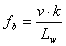
Frekvence napínání řemene

Účinný tah (nebo účinné napnutí)

Odstředivá síla

Fc = z m v 2

Napětí v rozteči řemene

Pomocí následujících rovnic aplikace nejdříve určí nejpodezřelejší řemenici, která vyžaduje maximální napnutí řemene při instalaci, aby bylo přenášeno požadované zatížení. Napnutí řemene v každém oblouku je upraveno pro všechny řemenice s ohledem na původní napnutí řemene při instalaci.

F 1i - F p P xi - F 2i = 0

Kritérium nejpodezřelejší řemenice je maximální napnutí sbíhající části

F 1max = max (F 1i )

Celkové maximální napnutí v oblouku řemene (na řemen), když je řemen plně zatížen, je určeno jako

Kde výraz k 1 F 1max je skutečné maximální napětí v rozteči řemene zvažované pro všechny řemeny v řemenovém pohonu. Tímto způsobem jsou všechna odpovídající napětí v jednotlivých roztečích přepočtena tak, aby splňovala následující podmínku:

F 1i - F P P xi - F 2i = 0

Výsledné zatížení osy pro každou řemenici, když je řemenový pohon plně zatížen

Poznámka: Pro hnané řemenice a volné kladky jsou hodnoty F 1 a F 2 v generátoru obráceny tak, že F 1 je napětí rozteče řemene při vstupu a F 2 je napětí rozteče řemene při výstupu – dle pohybu řemene.

Původní napětí řemene při instalaci a statická napínací síla

Požadované původní napnutí řemene při instalaci (na řemen) lze upravit součinitelem napětí a potom určit takto:

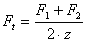
Statická napínací síla F v je určena pro každou řemenici. Aplikace vypočte napínací sílu, která působí podél střední linie rozteče řemene následovně:

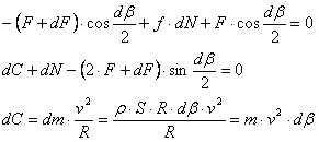
Význam použitých proměnných:

F Tečná síla [N]
β Úhly opásání [stupně]
α Úhel klínu [stupně]
C Odstředivá síla [N]
N Normální síla [N]
m Měrná hmotnost řemene [kg/m]
v Rychlost řemenu [m/s]
R Poloměr řemenice [m]
S Plocha průřezu řemene [m 2 ]
T Působící krouticí moment na dané řemenici [Nm]
D p Roztečný průměr řemenice [m]
k Počet řemenic [-]
P výkon určený k přenosu [N]
v Rychlost řemenu [m/s]
F c Odstředivá síla [N]
F 1 Napětí v oblouku řemene na vstupu pro danou řemenici [-]
F 2 Napětí v oblouku řemene na výstupu pro danou řemenici [-]
f Součinitel změny tření dané řemenice [-]
P x Poměr výkonu dané řemenice [-]
f g Součinitel tření dané řemenice - materiál a řemen [-]

f mod

Součinitel rychlosti změny tření [s/m]
Z Počet řemenů [-]
ρ Měrná hustota řemene [kg/m3]
F t Výchozí napětí řemene [N
F v Statická síla napětí pro danou řemenici [N]
k 1 Koeficient napětí řemenu [-]
Poznámka: i – index řemenice