Přenášený krouticí moment
kde:
|
P |
výkon [kW] |
|
|
n |
otáčky [ot/min] |
Výpočet minimálního průměru hřídele
1. vnitřní průměr hřídele d h > 0
a)
b) je-li d min ≤d h -> d min = 1,1 d h [mm]
c) je-li d min ≤ 1,5 d h -> d min = 1,5 d h [mm]
2. vnitřní průměr hřídele d h = 0

kde:
|
d min |
minimální průměr hřídele [mm] |
|
|
d h |
vnitřní průměr hřídele [mm] |
|
|
T |
krouticí moment [Nm] |
|
|
K a |
koeficient použití |
|
|
K f |
koeficient životnosti |
|
|
S v |
požadovaná bezpečnost |
|
|
τ A |
dovolené napětí ve smyku |
Obecný výpočet
|
|
rozsah působení sil na hřídel |
|
h k = h - h s - 2 s [mm] |
rozsah působení sil na náboj |
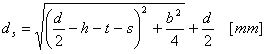
![]() |
průměr hřídele rozsahu působení sil |
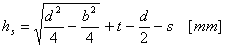
![]() |
průměr náboje rozsahu působení sil |
|
|
síla na hřídel |
|
|
síla na náboj |
|
kde: |
|
T |
krouticí moment [Nm] |
|
|
F s |
síla na hřídel [N] |
|
|
F h |
síla na náboj [N] |
|
|
K a |
koeficient použití |
|
|
K f |
koeficient opotřebení |
|
|
K w |
koeficient použití |
|
|
K m |
koeficient rozložení zatížení |
|
|
S v |
požadovaná bezpečnost |
|
|
d |
průměr hřídele [mm] |
|
|
d s |
průměr hřídele, kde působí síla F s [mm] |
|
|
d h |
průměr hřídele, kde působí síla F d [mm] |
|
|
N |
počet drážek [-] |
|
|
h |
výška drážky |
|
|
h s |
výška působiště síly na hřídeli [mm] |
|
|
h h |
výška působiště síly na náboji [mm] |
|
|
b |
šířka drážky |
|
|
t |
hloubka drážky v hřídeli [mm] |
|
|
s |
zkosení |
|
|
p Dmins |
minimální dovolený tlak (drážka, hřídel) [MPa] |
|
|
p Dminh |
minimální dovolený tlak (drážka, náboj) [MPa] |
Minimální délka pera k přenosu krouticího momentu
|
1. Pevné spojení: |
a) |
|
b) |
|
|
L min = min(L mins , L minh ) |
|
|
2. Pružné spojení: |
a) |
|
b) |
|
|
L min = min(L mins , L minh ) |
|
|
kde: |
|
F s |
síla na hřídel [N] |
|
|
F h |
síla na náboj [N] |
|
|
K a |
koeficient použití |
|
|
K f |
koeficient opotřebení |
|
|
K w |
koeficient použití |
|
|
K m |
koeficient rozložení zatížení |
|
|
S v |
požadovaná bezpečnost |
|
|
d |
průměr hřídele [mm] |
|
|
N |
počet drážek [-] |
|
|
h s |
výška působiště síly na hřídeli [mm] |
|
|
h h |
výška působiště síly na náboji [mm] |
|
|
p Dmins |
minimální dovolený tlak (drážka, hřídel) [MPa] |
|
|
p Dminh |
minimální dovolený tlak (drážka, náboj) [MPa] |
Minimální přípustný tlak
|
1. Pevné spojení: |
a) |
|
b) |
|
|
2. Pružné spojení: |
a) |
|
b) |
|
|
kde: |
|
F s |
síla na hřídel [N] |
|
|
F h |
síla na náboj [N] |
|
|
K a |
koeficient použití |
|
|
K f |
koeficient opotřebení |
|
|
K w |
koeficient použití |
|
|
K m |
koeficient rozložení zatížení |
|
|
S v |
požadovaná bezpečnost |
|
|
d |
vnitřní průměr drážkového profilu [mm] |
|
|
N |
počet drážek [-] |
|
|
h s |
výška působiště síly na hřídeli [mm] |
|
|
h h |
výška působiště síly na náboji [mm] |
|
|
l f |
funkční délka pera [mm] |
Pevnostní kontrola
p mins ≤ p Ds
p minh ≤ p Dh
kde:
|
p mins |
minimální vypočtený tlak ve smyku v hřídeli [MPa] |
|
|
p minh |
minimální vypočtený tlak ve smyku v náboji [MPa] |
|
|
p Ds |
dovolený tlak v hřídeli [MPa] |
|
|
p Dh |
dovolený tlak v náboji [MPa] |
Zjednodušený výpočet
Minimální délka pera k přenosu krouticího momentu
|
1. Pevné spojení: |
![]() |
|
2. Pružné spojení: |
![]() |
|
kde: |
|
T |
krouticí moment [Nm] |
|
|
K a |
koeficient použití |
|
|
K f |
koeficient opotřebení |
|
|
K w |
koeficient použití |
|
|
K m |
koeficient rozložení zatížení |
|
|
S v |
požadovaná bezpečnost |
|
|
d |
průměr hřídele [mm] |
|
|
N |
počet drážek [-] |
|
|
h |
výška drážky |
|
|
s |
zkosení |
|
|
h st |
Výška spojení h st = h - 2 s [mm] |
|
|
p Dmin |
přípustný tlak v opěrné ploše hřídele, drážky nebo náboje [MPa] |
Přípustný tlak
|
1. Pevné spojení: |
![]() |
|
2. Pružné spojení: |
![]() |
|
kde: |
|
T |
krouticí moment [Nm] |
|
|
K a |
koeficient použití |
|
|
K f |
koeficient opotřebení |
|
|
K w |
koeficient použití |
|
|
K m |
koeficient rozložení zatížení |
|
|
S v |
požadovaná bezpečnost |
|
|
d |
průměr hřídele [mm] |
|
|
N |
počet drážek [-] |
|
|
h |
výška drážky |
|
|
s |
zkosení |
|
|
h st |
Výška spojení h st = h - 2 s [mm] |
|
|
l f |
funkční délka pera [mm] |
Pevnostní kontrola
p min ≤ p Ds
p min ≤ p Dh
kde:
|
p min |
minimální vypočtený tlak h/2 [MPa] |
|
|
p Ds |
dovolený tlak v hřídeli [MPa] |
|
|
p Dh |
dovolený tlak v náboji [MPa] |