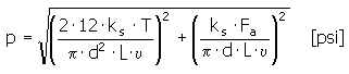
Stykový tlak
Minimální délka náboje
Doporučené hodnoty: L = (0,6 - 3) d
Síla připadající na jeden šroub
Pevnostní kontrola
p ≤ p A
kde:
|
F a |
axiální síla [lb] |
|
|
T |
krouticí moment [lb ft] |
|
|
d |
průměr hřídele [in] |
|
|
p |
dotykový tlak ve spoji [psi] |
|
|
p A |
přípustný tlak [psi] |
|
|
L |
délka náboje [in] |
|
| υ |
součinitel sevření υ = 0,008 až 0,1 [-] |
|
|
k s |
zabezpečení proti skluzu [-] |
|
|
F |
síla připadající na jeden šroub [lb] |
|
|
F s |
celková síla připadající na všechny šrouby [lb] |
|
|
i |
celkový počet šroubů [-] |