Puck-Kriterium

Das Puck-Kriterium ermittelt Faserversagen und Zwischenfaserversagen in unidirektionalen Verbundwerkstoffen.

Das Puck-Kriterium trennt auch das Faserversagen in zwei unterschiedliche physische Modi. Um das Puck-Ausfallkriterium zu verwenden, müssen Sie zwei Daten angeben.

Faserversagen

Das Puck-Kriterium erkennt zwei verschiedene Modi von Faserversagen: Zugversagen und Druckversagen durch Faserknicken. Die Gleichung für das Zugfaserausfallkriterium lautet

und die Gleichung für das Druckversagen durch Faserknicken lautet

In den oben stehenden Faserausfallkriterien gilt Folgendes:

Verbundmaterialdehnungen bei Verbundlängszug- bzw. -druckversagen
Uniaxialdehnung im Verbundwerkstoff
Längs-Poissonzahl der Faser
Längszugmodul der Faser
Querspannung des Verbundwerkstoffs
Längsscherdehnung im Verbundwerkstoff
Soll die Unterschiede bei den Querspannungen in der Faser und der Matrix erfassen. Für Kohlefasern und für Glasfasern .

In den oben stehenden Gleichungen wird die Zuggleichung ausgewertet, wenn , und das Druckkriterium wird ausgewertet, wenn .

Zwischenfaserversagen (Matrixrisse)

Beim Puck-Kriterium umfasst Zwischenfaserversagen alle Arten von Matrixrissen oder Faser-/Matrixablösung. Das Puck-Kriterium erkennt drei verschiedene Zwischenfaserausfallmodi, die so genannten Modi A, B und C. Diese Zwischenfaserausfallmodi unterscheiden sich durch die Ausrichtung der Bruchebenen zu den Verstärkungsfasern.

Zwischenfasermodus A:

Modus A entspricht einem Bruchwinkel von 0°. Das Kriterium wird aufgerufen, wenn die Querspannung im Verbundwerkstoff größer als 0 ist (und somit einen Querriss angibt, der lotrecht zur Querlast ist).

Zwischenfasermodus B:

Modus B entspricht einer Querdruckspannung (die Rissbildung verhindert) mit einer Längsscherspannung, die unter einer (mit empirischen Konstanten gekoppelten) Bruchfestigkeit liegt.

Das oben genannte Kriterium wird ausgewertet, wenn

Zwischenfasermodus C:

Modus C entspricht einer Querdruckspannung (die Rissbildung verhindert) mit einer Längsscherspannung, die groß genug ist, um einen Bruch auf einer geneigten Ebene zur Faserachse zu verursachen. Das Ausfallkriterium für Modus C lautet

Das oben genannte Kriterium wird ausgewertet, wenn

Beschreibung der in den Zwischenfaserausfallkriterien verwendeten Koeffizienten und Terme

In den anschließenden Erläuterungen gilt Folgendes:

Querzugfestigkeit des Verbundwerkstoffs
Querdruckfestigkeit
Neigungen der Bruchlinie

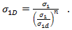
Zum Herstellen einer Verbindung zwischen und wird davon ausgegangen, dass die folgende Beziehung gilt:

Daher wird folgendermaßen angegeben:

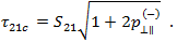
Dabei wird davon ausgegangen, dass gleich S21 ist, wodurch folgendermaßen ausgedrückt werden kann:

Puck und Mannigal (2007) empfehlen folgende Werte für und .

Puck definiert auch als

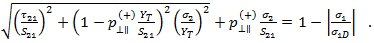
Schließlich muss noch definiert werden. Hierbei handelt es sich um eine "degradierte" Spannung im Verbundwerkstoff, mit der ein Brechen von einzelnen Fasern vor einem Faserversagen einkalkuliert wird, wodurch lokale Schäden in diesen Bereichen in Form von Mikrorissen und Ablösungen verursacht werden. Um diesen Schwächungseffekt zu berücksichtigen, degradiert Puck die Bruchwiderstände (R) um einen Schwächungsfaktor . Puck definiert dafür zwei Gleichungen. Die erste gilt für den generalisierten Schwächungsfaktor.

Die zweite dient dazu, einen anderen Ausdruck des Schwächungsfaktors bereitzustellen, damit die Bruchbedingungen homogen und ersten Grades in Bezug auf die Spannungen bleiben.

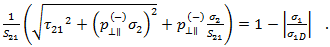
Die Implementierung des Puck-Kriteriums in Helius PFA verwendet nur die Spannungskomponenten des 3D-Spannungszustands in der Ebene. In diesem Fall sollten die beiden obigen Gleichungen äquivalente Ausdrücke sein, da keine iterativen Berechnungen zu Bruchebenen durchgeführt werden. Daher können wir Folgendes schreiben:

Basierend auf den Empfehlungen von Puck verwendet Helius PFA n=6 für den Exponenten und berechnet empirisch als 1.1XT oder -1.1XC, je nachdem, welches Vorzeichen hat.

Es sollte betont werden, dass die Implementierung des Puck-Kriteriums in Helius PFA nur die Komponenten des 3D-Spannungs- und -dehnungszustands in einer Ebene verwendet. σ13σ23, 33 σ werden also nicht verwendet, um das Materialversagen zu beurteilen.