Beschädigte Konstitutivbeziehungen für kohäsive Materialien

Hier erfahren Sie, welche Konstitutivbeziehungen für die Delaminierung verwendet werden.

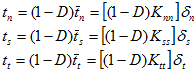
Die Steifheitskomponenten (Kij), die in den Konstitutivbeziehungen für Zugkraft/Trennung enthalten sind, werden als Funktionen der Schadensvariable D angenommen. Der Einfachheit halber übernehmen wir die folgende lineare Form der beschädigten Konstitutivbeziehungen.

In der obigen Gleichungen bezeichnen tn, ts, tt (ohne Überstriche) die tatsächlichen Zugkräfte im beschädigten kohäsiven Material, wohingegen die Zugkräfte bezeichnen, die anhand der ursprünglichen unbeschädigten Steifheiten in Verbindung mit den aktuellen relativen Verschiebungen berechnet wurden. Die Größen stellen die relativen Verschiebungen zwischen den oberen und unteren Flächen des kohäsiven Elements in die Richtungen n, s und t des Element-Koordinatensystems dar.

In dem Fall, dass < 0 (kohäsives Material unter Druckzugkraft), wird davon ausgegangen, dass tn nicht vom Schaden D beeinträchtigt ist, d. h., wir verwenden

Interessant ist dabei Folgendes: Wenn das kohäsive Material eine vollständige Kupplung aufweist und das kohäsive Element Druck ausgesetzt ist, ist die Materialsteifheitsmatrix nicht mehr symmetrisch.

Wenn wir weiter davon ausgehen, dass normale und Scherungszugkräfte keine Kupplung aufweisen, dann können die beschädigten Konstitutivbeziehungen einfach ausgedrückt werden als

es sei denn, < 0, dann verwenden wir .