Lastverteilung

Mit der Berechnung der Lastverteilung wird die kritische Schraube in der Verbindung ermittelt. In diesen Berechnungen gehen wir davon aus, dass die verteilte Last auf Kante gleichmäßig auf alle Schraubenreihen in der Verbindung ausgeübt wird, wie unten gezeigt. Es wird davon ausgegangen, dass Profile 1-3 nicht miteinander interagieren. Somit kann jedes Profil einzeln ausgewertet werden. Zum Bestimmen des relativen Lastanteils der Schrauben, die mit 1-N in Lastrichtung nummeriert sind, wird ein einzelnes Profil verwendet.

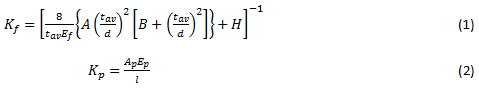
Jede Schraubenreihe in der Verbindung (falls mehrere vorhanden) wird einzeln analysiert. Die Lastverteilung innerhalb der Reihe wird über das entsprechende Dickemodell nach Heslehurst geschätzt [42]. Die relativen Lastanteile werden anhand der effektiven Schrauben-Biegungssteifigkeit Kf, die mit Gleichung 1 ermittelt wird, und der Plattensteifigkeit Kp, die mit Gleichung 2 ermittelt wird, bestimmt [42].

A, B und H sind empirisch ermittelte Konstanten. tav ist die mittlere Dicke der Platten in der Verbindung, d ist der Durchmesser der Schraube und Ap ist der Querschnittsbereich der zu analysierenden Platte. Ep ist das Elastizitätsmodul der Platte in Lastrichtung und l der Abstand zwischen Schrauben in der Lastrichtung [42].

Das Werkzeug Schraubverbindung unterstützt bis zu fünf Schrauben in einer Reihe. Die Lastverteilung für eine einzelne Schraube ist einfach P. Die Last P wird auf beide Schrauben in einer Reihe verteilt. Für eine Reihe mit drei Schrauben werden die relativen Lastanteile mit den Gleichungen 3 und 4 ermittelt [42].

Für eine Reihe mit vier Schrauben werden die relativen Lastanteile mit den Gleichungen 5 und 6 ermittelt [42].

Für eine Reihe mit fünf Schrauben werden die relativen Lastanteile mit den Gleichungen 7-9 ermittelt [42].

Jede Reihe wird analysiert; die Schraube mit dem größten relativen Lastanteil wird als kritische Schraube in der Analyse identifiziert. Diese Schraube wird zusammen mit dem zugehörigen Lastanteil und der umgebenden Geometrie an die Berechnung weitergeleitet, um das Spannungsfeld um die Schraube zu bestimmen.