|
|
Für jede Riemenscheibe gilt Folgendes: |
|
F 2 - F 1 + F p = 0 |
|
|
|
|
|
|
|
|
|
Für die antreibende Riemenscheibe gilt Folgendes:
|
|
v ≤ v max |
|
|
f b ≤ f max |
F c = mv 2
F Tmax = k 1 F p + F c
F 1 = F tmax
F 2 = F 1 - F p
Für einzelne angetriebene Riemenscheiben und Spannrollen gilt Folgendes:
i - Index der Riemenscheibe
F Pi = P xi F p
F 1i = F 2i-1
F 2i = F 1i + F p i
Dabei gilt:
für synchrone Rolle
für Scheibe
Für das gesamte Riemengetriebe
Die erforderliche Riemenspannung bei Installation wird wie folgt aus Kräften abgeleitet, die auf die Riemenscheibe wirken:
Beispiel einer Leistungsübertragung mit Spannrolle
|
Antreibende Riemenscheibe |
Spannrolle |
Angetriebene Riemenscheibe |
|
P x1 = 1 |
P x2 = 0 |
P x3 = 1 |
|
|
|
F P3 = P x3 F p |
|
|
|
|
|
|
|
|
|
|
F 12 = F 21 |
|
|
|
F 22 = F 12 + F p2 = F 12 |
|
|
F c = m v 2 |
|
|
|
F Tmax = k 1 F p + F C |
- |
F 13 = F 22 |
|
F 11 = F Tmax |
- |
F 23 = F 13 + F p3 = F 11 |
|
F 21 = F 11 - F p |
- |
|
|
|
- |
- |
Bedeutung der verwendeten Variablen:
|
F p |
Riemenzugkraft [N] |
|
F 1 |
Riemenspannung an der Eingabeseite der jeweiligen Riemenscheibe [N] |
|
F 2 |
Riemenspannung an der Ausgabeseite der jeweiligen Riemenscheibe [N] |
|
Z |
Anzahl der Zähne der jeweiligen Riemenscheibe / Anzahl der Riemenzähne [-] |
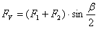
| β |
Umspannungswinkel / Winkel der Zahnschräge [°] |
|
P |
Zu übertragende Leistung [W] |
|
P R |
Riemennennleistung für das jeweilige Getriebelayout [W] |
|
c L |
Gebrauchsdauerkoeffizient [-] |
| β |
Umspannungswinkel [°] |
|
T |
Auf die jeweilige Riemenscheibe einwirkendes Drehmoment [Nm] |
|
n |
Geschwindigkeit der jeweiligen Riemenscheibe [U/min] |
|
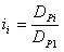
D p |
Teilkreisdurchmesser der Riemenscheibe [m] |
|
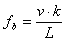
v |
Riemengeschwindigkeit [m/s] |
|
k |
Anzahl der Riemenscheiben im Riemengetriebe [-] |
|
L |
Teilriemenlänge [m] |
|
P |
Zu übertragende Leistung [W] |
|
m |
Spezifisches Riemengewicht für die jeweilige Breite [kg/m] |
|
k 1 |
Zugkoeffizient des Riemens [-] |
|
F p |
Riemenzugkraft [N] |
|
F c |
Zentrifugalkraft [N] |
|
F t |
Minimaler Riemeninstallationszug [N] |
|
P xi |
Leistungsverhältnis der jeweiligen Riemenscheibe [-] |
|
D pi |
Teilkreisdurchmesser der Riemenscheibe [m] |
|
i |
Übertragungsverhältnis (Geschwindigkeitsverhältnis) der jeweiligen Riemenscheibe [-] |
|
T i |
Auf die jeweilige Riemenscheibe einwirkendes Drehmoment [Nm] |
| η |
Wirkungsgrad [-] |
|
p b |
Zahnkreisteilung [m] |
|
D |
Nenndurchmesser der flachen Riemenscheibe [m] |
|
H |
Riemenhöhe [m] |
|
h T |
Riemenzahnhöhe [m] |
|
a |
Teillinienversatz [m] |