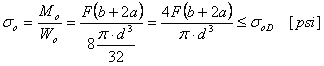
Biegespannung

Druck im Stab
Druck im Zapfen
Scherspannung
Scherspannung
Dabei gilt:
|
F |
Kraft [lb] |
|
|
σ 0 |
Biegespannung [psi] |
|
|
σ 0D |
Zulässige Biegespannung [psi] |
|
|
M 0 |
Biegemoment [lb ft] |
|
|
W 0 |
Widerstandsmoment der Biegung [in 3 ] |
|
| τ |
Scherspannung [psi] |
|
|
τ D |
Zulässige Scherspannung [psi] |
|
|
d |
Stiftdurchmesser [in] |
|
|
p 1 |
Druck im Stab [psi] |
|
|
p 2 |
Druck im Zapfen [psi] |
|
|
p 1D |
Zulässiger Druck im Stab [psi] |
|
|
p 2D |
Zulässiger Druck im Zapfen [psi] |
|
|
b |
Stabbreite [in] |
|
|
a |
Zapfenarmbreite [in] |