Grundlegende Berechnungsformeln für Bremsen

Eingangsparameter

Eingangskraft: F

Außendurchmesser: D

Innendurchmesser: D 0 (nur für Scheiben- und Kegelbremsen)

Breite: b

Kegelwinkel: β (nur für Kegelbremsen)

Anzahl der Bremsen (Bremsfläche): N

Bremsdruck (max.): p (max.)

Bremsdruck.Geschwindigkeit (max.): p.v (max.)

Startgeschwindigkeit: n 0

Endgeschwindigkeit: n 1

Startenergie: E, siehe Kapitel Energieberechnung

Berechnete Parameter

Reibungskraft

für Bandbremsen

 

F t = F (e fα - 1)

Für andere

 

F t = F n f

Dabei gilt:

  α Winkellänge
  f Reibungskoeffizient
  F n Normalkraft
  für Scheibenbremsen:
 

F n = F / sin (β)

  für andere:
 

F n = F

Berechnung des Bremsdrehmoments

T = 0.5 D e F t

Dabei gilt:

 

D e

Äquivalenter Durchmesser

   

für Kegel- und Scheibenbremsen

   
   

für andere D e = D

Druckberechnung

Dabei gilt:

 

A = N b L

Bremsfläche

   

b

Breite

 
   

L = 0.5 D s α

Länge

 
      α

Winkel

     

D s

mittlerer Durchmesser, für Kegel- und Scheibenbremsen D s = 0.5 (D + D 0 )

       

für andere D s = D

Grobe Prüfung einer Bremse auf Erwärmung

p p (M ax. )

p v p v (M ax. )

Dabei gilt:

 

v = π D n 0 / 60

Anfangsdrehzahl

     

Berechnung der Bremszeit

Dabei gilt:

 

Reduziertes Trägheitsmoment

 

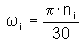
Drehzahl/Umdrehungen [rad/s]

Anzahl der Umdrehungen bis zum Anhalten

Ausgabekraft F0

nur für Bandbremsen:

F 0 = F + F t = F e fα