Mit der Option Laminat können Sie eine Verbundlaminat-Eigenschaft definieren. Klicken Sie auf die Schaltfläche Neues Laminat. Das Dialogfeld Laminat wird geöffnet.
- Unter Schichtoptionen haben Sie folgende Möglichkeiten:
- Hinzufügen: Hiermit können Sie die Schicht hinzufügen.
- Material: Hiermit definieren Sie ein neues Material.
- Globale Schicht: Hiermit definieren Sie die globale Schicht, wie in der folgenden Abbildung gezeigt.
- Nach oben: Hiermit verschieben Sie die ausgewählte Schicht einen Schritt nach oben.
- Nach unten: Hiermit verschieben Sie die ausgewählte Schicht einen Schritt nach unten.
- Sym: Hiermit erstellen Sie die Symmetrie der ausgewählten Schicht(en).
- Anti-Sym: Hiermit erstellen Sie die Anti-Symmetrie der ausgewählten Schicht(en).
- Rückgängig: Hiermit machen Sie den letzten Vorgang rückgängig.
- Wiederherstellen: Hiermit stellen Sie den letzten Vorgang wieder her.
- Löschen: Hiermit löschen Sie die ausgewählte(n) Schicht(en).
- Ausschneiden: Hiermit schneiden Sie die ausgewählte(n) Schicht(en) aus.
- Kopieren: Hiermit kopieren Sie die ausgewählte(n) Schicht(en).
- Einfügen: Hiermit fügen Sie die Schicht(en) ein, die Sie zuvor ausgeschnitten oder kopiert haben.
- Importieren: Hiermit können Sie die Schichtdetails im CSV-Format importieren.
- Exportieren: Hiermit können Sie die Schichtdetails im CSV-Format exportieren.
- Wiederholen: Hiermit können Sie eine Mehrfachschicht für die Schicht(en) erstellen, die Sie ausgewählt haben.
- Globale Schicht verwenden: Hiermit aktivieren Sie die Spalte für eine globale Schicht.
- Layout: Hiermit können Sie die Schichten von Unten im Layup zu Oben im Layup umkehren. Die Schichten werden visuell umgedreht. Beim Exportieren der Nastran-Datei wird immer das Format verwendet, bei dem die Schichten sich unten im Layup befinden.
- Klicken Sie unter Schichtoptionen auf Hinzufügen, um mit der Definition der ersten Schicht zu beginnen. Diese Schicht befindet sich ganz unten im Layup.
- Schicht-ID: Jede Schicht im Verbund hat eine eindeutige ID. Diese IDs werden automatisch von Autodesk Nastran In-CAD generiert, wenn Sie die Schichten in diesem Dialogfeld erstellen. Sie können nicht geändert werden.
- Material: Jede Schicht kann ein anderes Material aufweisen. In diesem Pulldown-Menü können Sie ein Material auswählen, das unter Materialien vordefiniert wurde.
- Dicke: Jede Schicht kann über einen eigenen Wert für die Dicke verfügen.
- Winkel: Dies ist der Ausrichtungswinkel der Schicht. Dieser Winkel wird in Bezug auf den Winkel der Materialausrichtung berechnet. Ein Schichtwinkel von Null entspricht der Materialausrichtung.
- Spannung/Dehnung: Hiermit können Sie die Spannungsausgabe für jede Schicht steuern, indem Sie die Einstellung auf EIN oder AUS setzen.
-
Laminateigenschaften:
- Laminatoptionen: Hiermit können Sie verschiedene Laminat-Arten definieren, wie beispielsweise SYM, HCS, FCS, ACS, SME oder SMC.
- Beim Laminat SYM werden nur die Schichten auf einer Seite der Mittellinie des Elements angegeben. Die Schichten werden nummeriert, beginnend mit 1 für die unterste Schicht. Wenn beim Laminat SYM eine ungerade Anzahl an Schichten gewünscht wird, muss die Dicke der mittleren Schicht (Ti) der Hälfte der tatsächlichen Dicke entsprechen.
- Bei den Laminaten HCS, FCS und LAM wird zur Ausgabe des Stabilitätsbeiwerts der Deckschicht ein Verbundsandwich definiert. Bei HCS wird ein Wabenmuster-Kernmaterial verwendet, bei FCS ein Form-Kernmaterial, und bei ACS wird auf Grundlage des angegebenen Kernmaterials entweder HCS oder FCS ausgewählt.
- Beim Laminat SME werden die Schichteffekte verwischt, und die Stapelsequenz wird ignoriert. Beim Laminat SMC wird ein Verbundsandwich mit entsprechenden orthotropen Eigenschaften definiert.
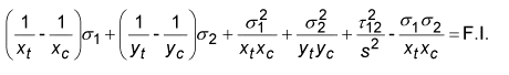
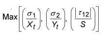
- Fehlertheorie: Dies ist die Schichtfehlertheorie. Die folgenden Theorien sind zulässig. Wenn das Feld leer ist, wird keine Fehlerberechnung durchgeführt. Hill ist als Vorgabe für die Fehlertheorie eingestellt.
- HILL für die Hill-Theorie.
Orthotrope Materialien mit gleicher Festigkeit bei Zug und Druck.
- HOFF für die Hoffman-Theorie.
Orthotrope Materialien unter einem allgemeinen ebenen Spannungszustand mit ungleicher Festigkeit bei Zug und Druck.
- TSAI für die Tsai-Wu-Theorie.
Orthotrope Materialien unter einem allgemeinen ebenen Spannungszustand mit ungleicher Festigkeit bei Zug und Druck.
- Maximale Spannung für die Theorie der maximalen Spannung.
- Maximale Dehnung für die Theorie der maximalen Dehnung.
- LaRC02 für die NASA LaRC-Theorie.
Orthotrope Materialien, die aus unidirektionalen Schichten unter einem allgemeinen ebenen Spannungszustand bestehen. Weitere Informationen finden Sie im Benutzerhandbuch für Autodesk Nastran, Referenz 5.
- PUCK für die Puck PCP-Theorie.
Orthotrope Materialien, die aus unidirektionalen Schichten unter einem allgemeinen ebenen Spannungszustand bestehen. Weitere Informationen finden Sie im Benutzerhandbuch für Autodesk Nastran, Referenz 12 und 13.
- MCT für die Mehrphasen-Kontinuumstheorie.
Orthotrope Materialien, die aus unidirektionalen Schichten oder aus normal verwobenem Gewebe unter einem allgemeinen ebenen Spannungszustand bestehen. Weitere Informationen finden Sie im Benutzerhandbuch für Autodesk Nastran, Referenz 20, 21 und 22.
- Festigkeitsverhältnis: Steuert die Ausgabe des Tsai-Festigkeitsverhältnisses, das bei der Ergebnisausgabe für Verbundelementschichten anstelle des Fehlerindex angegeben wird. Wenn diese Option auf EINgesetzt ist, kann der Parameter PARAM,STRENGTHRATIO,ON definiert werden, und das Tsai-Festigkeitsverhältnis wird berechnet. Das Festigkeitsverhältnis gilt als aussagekräftiger als der Fehlerindex, da es genau angibt, wie die angewendete Last geändert werden muss, um eine optimale Leistung der Schicht zu erzielen.
- Zulässige Bond-Scherspannung: Dieser Wert definiert die interlaminare Scherspannung eines Verbundmaterials. Dieser Wert ist erforderlich, damit ein Verbund-Fehlerindex ausgegeben werden kann.
- Abstand der unteren Fasern: Entspricht vorgabemäßig der Hälfte der Gesamtdicke. Sie können diesen Wert ändern, indem Sie das Kontrollkästchen links aktivieren und einen neuen Wert in das Feld auf der rechten Seite eingeben.
- GE (Dämpfungskoeffizient): Dieser Wert definiert den Dämpfungskoeffizienten der Strukturelemente, der das Doppelte des kritischen Dämpfungsverhältnisses
beträgt, das für dynamische Analysen verwendet wird. Dies soll in späteren Versionen unterstützt werden.
- NSM: Ermöglicht die Definition einer nichtstrukturellen Masse pro Flächeneinheit.
(Ref.- Temperatur): Dieser Wert definiert die Referenztemperatur der Verbundschichten (aller Schichten) für temperaturabhängige Materialeigenschaften. Diese Funktion wird in späteren Versionen unterstützt.
(Gesamtdicke): Zeigt die Gesamtdicke, die im Laminat angegeben ist.
Techniken zur Erstellung von Schichten:
- Es gibt viele praktische Möglichkeiten zum Definieren der verschiedenen Schichteigenschaften.
- Klicken Sie für die erste Zeile auf Hinzufügen, klicken Sie in die Spalte Material der Zeile, und wählen Sie ein Material. Die Vorgabewerte für die übrigen Spalten werden automatisch geladen.
- Wählen Sie nun die Schicht-ID 1 aus.
- Geben Sie 2 in das Feld neben der Wiederholen-Schaltfläche ein (der Vorgabewert ist 1), und klicken Sie auf die Schaltfläche Wiederholen. Die erste Zeile wird zweimal kopiert. Die folgende Abbildung zeigt das Ergebnis.
- Ändern Sie die Winkel von oben nach unten in 45, 0 und -45.
- Wählen Sie nun alle Schichten aus. Klicken Sie dann auf die Schaltfläche Symmetrisch.
- Dadurch werden gespiegelte Zeilen der ausgewählten Schichten erstellt.
- Die folgende Abbildung zeigt das Ergebnis.
- Bei Auswahl von Anti-Symmetrisch werden ebenfalls gespiegelte Zeilen erstellt, jedoch mit entgegengesetzten Vorzeichen für die Schichtwinkel.
- Sie können mehrere Schichten auswählen und dann zum Ändern mit der rechten Maustaste auf ein Feld klicken. Wählen Sie dann Bearbeiten.
- Wenn Sie die Eigenschaft für eine Schicht ändern, werden alle entsprechenden Eigenschaften gleichzeitig geändert.
Beispiel für das Laminat-Dialogfeld:
- Die Layup-Konfiguration in diesem Beispiel enthält drei Schichten:
- Für die Konfiguration einer Verbundebenen-Eigenschaft mit drei Schichten würde das Laminat-Dialogfeld die folgenden Einträge enthalten. Beachten Sie, dass die Eigenschaft von unten nach oben definiert wird.
- Der Wert für Abstand der unteren Fasern wird automatisch aktualisiert (-1/2 Gesamtdicke). Dies ist der Abstand von der Referenzebene zur unteren Oberfläche. Schicht 1 ist die unterste Schicht, und die letzte definierte Schicht ist die oberste Schicht (Schicht 3 in diesem Fall).
- Klicken Sie auf die Schaltfläche Vorschau
, um die Optionen Layup anzeigen und ABD-Matrix anzeigen einzublenden.
- Die Optionen Layup anzeigen und ABD-Matrix anzeigen werden einzeln eingeblendet, wenn Sie auf
klicken. Zum Ausblenden klicken Sie auf die Schaltfläche
.
- Layup anzeigen: Zeigt die grafische Darstellung der definierten Schichten.
- ABD-Matrix anzeigen: Die entsprechenden Laminateigenschaften werden in einer ABD-Matrix zusammen mit der Anzahl der Schichten und der in der Schicht definierten Gesamtdicke angezeigt.
- Popup-Menü: Wenn Sie mit der rechten Maustaste auf die Zeilen klicken, wird das Popup-Menü eingeblendet, wie unten gezeigt:
- Schicht hinzufügen: Hiermit können Sie eine neue Schicht hinzufügen.
- Bearbeiten: Hiermit können Sie die Eigenschaft bearbeiten. Wählen Sie eine beliebige Eigenschaft, z. B. Material, globale Schicht oder Dicke usw. Wenn Sie eine Mehrfachauswahl treffen und dann auf Bearbeiten klicken, wird der Wert in allen Schichten geändert.
- In globale Schicht umwandeln: Hiermit können Sie eine normale Schicht in eine globale Schichtdefinition umwandeln.
- Ausschneiden: Hiermit schneiden Sie die ausgewählte(n) Schicht(en) aus.
- Kopieren: Hiermit kopieren Sie die ausgewählte(n) Schicht(en).
- Einfügen: Hiermit fügen Sie die Schicht(en) ein, die Sie zuvor ausgeschnitten oder kopiert haben. Verschiedene Optionen sind verfügbar: Über einfügen, Oberhalb einfügen, Unterhalb einfügen, Oberhalb symmetrisch einfügen, Unterhalb symmetrisch einfügen, Oberhalb anti-symmetrisch einfügen, Unterhalb anti-symmetrisch einfügen.
- Rückgängig: Hiermit machen Sie den letzten Vorgang rückgängig.
- Wiederherstellen: Hiermit stellen Sie den letzten Vorgang wieder her.
- Löschen: Hiermit löschen Sie die ausgewählte(n) Schicht(en).
- Schichten umkehren: Hiermit können Sie die Schicht(en) umkehren, die Sie ausgewählt haben.