Results - general

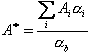
The main function of the Section Definition module is to indicate the geometric properties of the defined solid section. For composite sections, only the weighted properties are calculated (marked with *) using the following formula:

where:

i - i-th material of the composite section

b - base material of the composite section.

General results include the following values, which are given as geometric and weighted values: area, center of gravity coordinates, dimensions, and base material parameters (Young's modulus, density, weight per unit). You can select to perform additional calculations (select the appropriate option and click Calculate).

A bending moment with respect to the y or z axis, which causes complete plastification of a section, is a product of a value of the plastic section modulus about the y or z axis and a yield point value. Surfaces of equal areas that result from division by means of the neutral line parallel to the y axis are represented by . Surfaces of equal areas that result from division by means of the neutral line parallel to the z axis are represented by .

Results of additional calculations are displayed on the Principal System tab of the Results dialog.