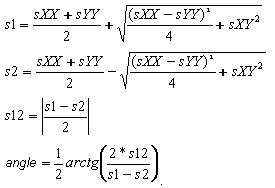
Main s stress values are defined according to the following formulas.
Note: Main values of membrane forces N and moments M are defined according to the same formulas. The S denoting stresses is replaced by the letters N and M respectively.
A complex (reduced) S stress value (von Mises) is defined according to the following formula.
Note: Values of reduced membrane forces N and moment M are defined according to the same formula. The S denoting stresses is replaced by the letters N and M respectively.