Versuchen Sie, beim Skizzieren von Splines das gewünschte Ergebnis mit möglichst einfachen Linien oder Linienkombinationen zu erzielen.
Angenommen, Sie möchten eine ähnliche Linie wie in der folgenden Abbildung erstellen.

Sie können diese Linie aus einer Kombination von Bogen und Linien erstellen oder einen Spline verwenden. Die Verarbeitung von Linien, die mithilfe von Splines skizziert werden, nimmt mehr Zeit in Anspruch. Wir empfehlen daher, nach Möglichkeit Bogen und Linien zu kombinieren, anstatt Splines zu verwenden.
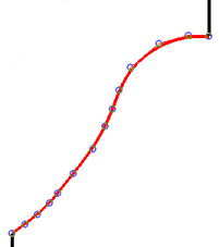
Wenn Sie einen Spline verwenden müssen, um eine Linie zu erstellen, versuchen Sie, mit möglichst wenigen Steuerpunkten auszukommen, um die Verarbeitungszeit so weit wie möglich zu verkürzen. Die folgende Abbildung zeigt einen Spline, der durch Festlegen sehr vieler Steuerpunkte (blaue Punkte) skizziert wurde.

Derselbe Spline kann wie hier gezeigt auch mit weniger Steuerpunkten erstellt werden.
