Berechnungen für feuchtes Gas und Feuchtigkeit

Wie bereits angemerkt, wird die Energiegleichung für Strömungen vom Typ "Feuchtes Gas" im Hinblick auf Temperatur mit einer variablen spezifischen Wärme geschrieben:

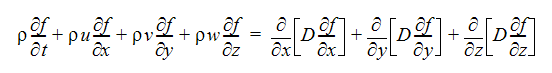
Um die Feuchtigkeit im Fluid nachzuverfolgen, wird eine zusätzliche partielle Differentialgleichung für eine skalare Größe gelöst, welche den Massenanteil der Feuchtigkeit (entweder in der flüssigen oder in der dampfförmigen Phase) repräsentiert:

Aus der Lösung dieser beiden Gleichungen und den Thermodynamiktabellen kann dann die Qualität der Feuchtigkeit(Dampfanteil) berechnet werden. Mit der Qualität und dem Massenanteil der Feuchtigkeit kann der Massen- bzw. Mischungsanteil des kondensierten Wassers berechnet werden. Dieser Mischungsanteil wird für Berechnungen von feuchtem Gas zusammen mit der relativen Feuchte an jedem Knoten in der Lösungsdomäne ausgegeben.

Die Eigenschaften des feuchten Fluids werden unter der Annahme einer homogenen Mischung berechnet. Die Dichte kann beispielsweise wie folgt berechnet werden:

Dabei wird die Feuchtigkeitsdichte aus den Thermodynamiktabellen unter Verwendung der ermittelten Enthalpie berechnet.