Analysemerkmale
Verweis
White, F.M. , Fluid Mechanics, McGraw-Hill (1986).
Problembeschreibung
Ein kreisförmiges Rohr in 2D wird analysiert, um die Fluidströmungs- und Turbulenz-Modellierungsfunktionen von Autodesk® CFD zu überprüfen.
Das k-
-Turbulenzmodell wird verwendet.
Die Reynolds-Zahl auf Basis des Rohrdurchmessers
beträgt 14,960.
Der Druckverlust
wird stromabwärts über ein Intervall von 50 m nach dem Einlass gemessen:
Geometrie und Randbedingungen
Ergebnisse
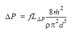
Die analytischen und numerischen Berechnungen des Druckabfalls werden verglichen. Der analytische Ausdruck für den Druckabfall
von White (1986) ist:
ist der Darcy-Reibungsfaktor
ist der Massenstrom
ist die Rohrlänge, über die
gemessen wird. Der Darcy-Reibungsfaktor wird aus dem Blasius-Ausdruck berechnet:
Dabei werden folgende Parameter verwendet:
=50.0 m
=2350
=14960 In den obigen Ausdrücken werden die folgenden Ergebnisse berechnet:
| Benchmark | 2015: Build 20131223 | % Fehler | 2016: Build 20150209 | % Fehler | |
|
4.0e5 Pa | 397744.82 Pa | 0.488 | 399696.34 Pa | 0.454 |