Turbulente Strömung

Die zeitabhängigen Kontinuitäts-, Navier-Stokes- und Energiegleichungen gelten sowohl für laminare als auch turbulente Strömungen. Aufgrund der unendlichen Anzahl von Zeit- und Längenskalen in einer turbulenten Strömung erfordert die Lösung dieser Gleichungen selbst für eine einfache Geometrie eine große Anzahl von finiten Elementen (im Bereich von 106 bis 108) und nahezu unendlich kleine Zeitschritte. Für die meisten praktischen Anwendungen bedeutet es einen unangemessenen Aufwand, die Strömung in dieser Weise zu modellieren.

Um die Notwendigkeit der Verfügbarkeit derart umfangreicher Computerressourcen zu umgehen, werden die zugrunde liegenden partiellen Differentialgleichungen über die vorhandenen Skalen gemittelt. Für die Mittelung stehen verschiedene Typen von Skalaren zur Auswahl. Autodesk® CFD löst die zugrunde liegenden Gleichungen unter Verwendung von zeitgemittelten Größen.

Die zeitgemittelten Gleichungen ergeben sich durch die Annahme, dass sich die abhängigen Variablen als Überlagerung eines Mittelwerts durch einen Schwankungswert darstellen lassen, der als Abweichung vom Mittelwert zu verstehen ist. Die x-Geschwindigkeitskomponente kann beispielsweise wie folgt ausgedrückt werden:

Hierbei steht U für die mittlere Geschwindigkeit und u' für die Schwankung um diesen Mittelwert. Diese Darstellung wird in die zugrunde liegenden Gleichungen eingesetzt, und die Gleichungen selbst werden zeitlich gemittelt. Unter Verwendung der Konvention, dass Großbuchstaben die Mittelwerte und Kleinbuchstaben die Schwankungswerte (mit Ausnahme der Temperatur) repräsentieren, können die gemittelten zugrunde liegenden Gleichungen wie folgt geschrieben werden:

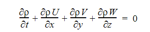
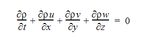
Kontinuitätsgleichung:

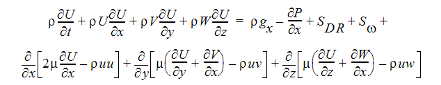
x-Impulsgleichung

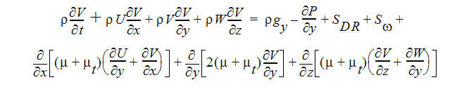
y-Impulsgleichung

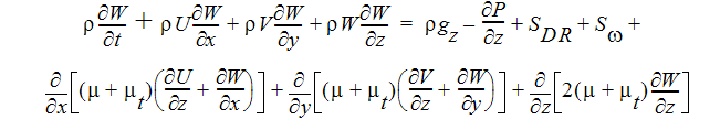
z-Impulsgleichung

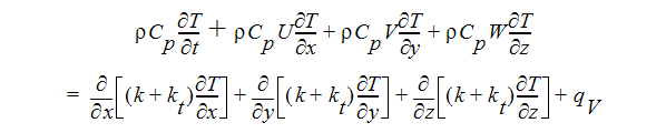
Energiegleichung

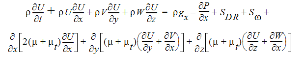
Beachten Sie, dass durch die Mittelung zusätzliche Terme in die Impulsgleichungen und die Energiegleichung eingeführt wurden: uu, uv, uw, vv, vw, ww, CpuT', CpvT' und CpwT'. Diese Terme sind Kombinationen fluktuierender Mengen aufgrund der Mittelung der nichtlinearen Trägheits- oder Advektionsterme. Die zusätzlichen Terme in den Impulsgleichungen werden als Reynoldsspannungs-Terme bezeichnet.

Durch Hinzufügen dieser zusätzlichen Terme repräsentieren die obigen Gleichungen nun ein Gleichungssystem mit 5 Gleichungen und 14 Unbekannten uu, uv, uw, vv, vw, ww, CpuT, CpvT und CpwT. Für die letzten neun zusätzlichen Terme können durch die Bestimmung von Momenten der obigen Gleichungen weitere Gleichungen abgeleitet werden. Hierdurch werden jedoch noch mehr Unbekannte eingeführt. Dieses Abschlussproblem kann sich unbegrenzt fortsetzen. Irgendwann muss jedoch entschieden werden, keine neuen Gleichungen (und damit neue Terme) zu erzeugen und einen Weg zu finden, die zusätzlichen Terme zu "modellieren", d. h., sie auf die bisherigen Unbekannten zurückzuführen. Bei Stufe Null des Abschlusses sind die Reynoldsspannungs-Terme an die Mittelwerte der abhängigen Variablen U, V, W und T gebunden.

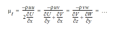
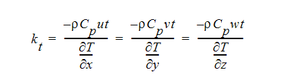
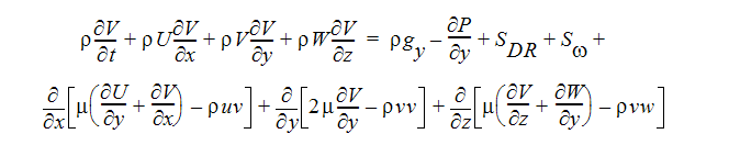
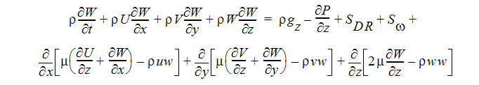
Ein Abschluss der Gleichungen in diesem Stadium, der häufig verwendet wird, ist die Boussinesq-Approximation, mit der eine Wirbelviskosität und eine Wirbelleitfähigkeit definiert werden:

Anmerkung: Diese Definitionen implizieren eine isotrope Wirkung der Turbulenz.

Wenn diese Definitionen in den gemittelten Gleichungen verwendet werden, ergibt sich folgendes Bild:

Kontinuitätsgleichung:

x-Impulsgleichung

y-Impulsgleichung

z-Impulsgleichung

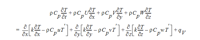
Energiegleichung

Damit bleiben als zu bestimmende Größen nur noch Wirbelviskosität und Wirbelleitfähigkeit übrig.