Zusammenfassungsdatei

Die Zusammenfassungsdatei enthält die tabellarischen Minimum-, Maximum- und Durchschnittsknotenwerte für ausgewählte Variablen. Umfassende Berechnungen mit Zusammenfassungen für jeden Einlass und Auslass für Massenstrom, mittleren Gesamtdruck, Temperatur und Reynoldszahl werden bereitgestellt. Wandwärmeübertragung, globales Energiegleichgewicht und Fluidkräfte werden für das gesamte Modell angegeben.

Statistiken zu Analysedauer und verwendeter RAM werden aufgelistet.

Die Zusammenfassungsdatei hat die Erweiterung ".sum" und kann in jedem Textbearbeitungsprogramm angesehen werden.

Die Analyse-Berechnungseinheiten und die Einheiten für jede Variable sind in dieser Datei enthalten.

Anmerkung: Bei der Arbeit mit inch-lb-s- und inch-Watt-K-Einheitensystemen wird der Massendurchfluss in konsistenten Einheiten und in lbm/s angezeigt.

Öffnungen

Alle Randbedingungen für Geschwindigkeit werden als "Einlass", und die Randbedingungen für Druck als "Auslass" gekennzeichnet. Dies dient Buchhaltungszwecken und basiert nicht auf der Grundlage der Fließrichtung in oder aus dem Modell.

Für jede Öffnung werden folgende Werte angezeigt:

Für druckgesteuerte Strömungen (mit einem bestimmten Druck am Einlass und Auslass) gibt die Zusammenfassungsdatei an, dass keine Einlässe und zwei Auslässe vorhanden sind. Der physische Einlass hat einen positiven Massendurchfluss, der Auslass einen negative. Beachten Sie weiterhin, dass der Wert für "Gesamtmassendurchfluss ein" und für "Gesamtmassendurchfluss aus" 0 sein wird. Der Grund dafür ist, dass keine Geschwindigkeitsbedingungen angegeben wurden (keine gekennzeichneten Einlässe) und der Gesamtmassendurchfluss aus den gekennzeichneten Auslässen aufgehoben wird (der eine ist positiv und der andere negativ).

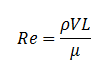
Anmerkung zur Reynoldszahl:

Die grundlegende Form der Reynoldszahl wird wie folgt berechnet:

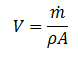
Der Mittelwert der Geschwindigkeit über einen Querschnitt wird wie folgt berechnet:

Die charakteristische Länge L ist die Quadratwurzel aus dem Querschnittsbereich:

Die daraus folgende Gleichung für die Reynoldszahl ist somit:

Temperaturstatistiken

Bei Analysen mit Wärmeübertragung werden Statistiken für Temperaturverteilung in der Zusammenfassungsdatei aufgeführt. Diese Statistiken zeigen den Anteil (als Prozentwert) des Modells mit einer Temperatur innerhalb eines bestimmten Bereichs.

Zusammenfassung der Fluidkräfte an Wänden

Die kumulativen Kraftkomponenten werden in der Zusammenfassungsdatei als Scher- und Druckergebnisse angegeben. Diese Werte sind die zusammengefassten Werte aller Wände des Modells. Verwenden Sie den Wand-Rechner im Taskdialogfeld "Ergebnisse", um die Kräfte an einzelnen Flächen zu berechnen.

Schalenkräfte

Enthält eine Analyse Schalen (feste Hindernisse an der Oberfläche), dann werden Informationen zu Kraft, Temperatur und Wärmeübertragung für jede Fläche in der Zusammenfassungsdatei angegeben.

Energiegleichgewicht

Zeile Informationen zu Fluidenergiegleichgewicht:
1 MdotIn x CP (TOut - TIn)
2 (Numerische) Energie Aus - Energie Ein
3 Wärmeübertragung von der Wand zum Fluid
4 Wärmeübertragung aufgrund von Quellen im Fluid
5 Summe Strahlungswärmeübertragung zu Fluidwänden
  Informationen zum Festkörperenergiegleichgewicht:
6 Wärmeübertragung von außen zu Festkörper
7 Wärmeübertragung aufgrund von Quellen im Festkörper
8 Wärmeübertragung von Fluid zu Festkörper

Zeile 1: Die physische Energiedifferenz im Fluid vom Auslass bis zum Einlass.

Zeile 2 : Die Energiedifferenz im Fluid vom Auslass bis zum Einlass. Dies ist die Summe der Restwerte für die gesamte Fluiddomäne. Sie stellt die gesamte für den Erhalt der Rahmenbedingungen für das Fluid benötigte Energie dar. Die Summe sollte folgender Größe entsprechen: (Zeile 1 ).

Zeile 3: Energiemenge, die das Fluid von den Randbedingungen der Wärmeübertragung an der Wand aufgenommen hatte, und die Summe der Restwerte aller Wandknoten, einschließlich der Knoten an den Schnittstellen von Festkörpermaterialien. In Fällen, in denen alle externen Fluidwände (ohne Berührungspunkte mit einem anderen Volumen oder Fläche) adiabatisch sind, stellt dieser Wert die Energiemenge dar, die das Fluid von den Festkörpermaterialien aufnimmt. Sind thermische Randbedingungen an diesen externen Fluidwänden vorhanden, so werden diese sowie der Wert für die von den Feststoffen übertragene Energie in Zeile 3 aufgeführt.

Zeile 4: Gesamtenergie von Wärmequellen nur in den Fluidelementen/-volumen.

Zeile 5: Die in den Zeilen 2-4 und 6-8 berechneten Restwerte enthalten keine Strahlungsflüsse. Diese Zeile fasst die Strahlungsflüsse aller Wandflächen zusammen.

Zeile 6: Energie, die von einer externen Begrenzung an einen Festkörper übertragen wird und umgekehrt. Dies ist die Summe der Restwerte aller äußeren Flächen von Festkörpern. Es sind Flächen, die keine Berührungspunkte mit einem anderen Material haben. In bestimmten Fällen, in denen etwa am Festkörper und an den äußeren Flächen eine Wärmequelle angewendet wird, enthält diese Zeile eine endliche Zahl, die die Summe der Restwerte auf diesen äußeren Knoten ist. In diesem Fall kann diese Zahl ist als Energie, die aus diesem Festkörper in die Umgebung entweicht, interpretiert werden. In Fällen, in denen die äußeren Flächen einen Wärmefluss oder eine bestimmte Temperatur aufweisen, enthält diese Zeile die Energiemenge, die benötigt wird, um diese Randbedingungen aufrechtzuerhalten.

Zeile 7: Gesamtenergie aller Wärmequellen nur in den Festkörperelementen/Volumen.

Zeile 8: Energie, die die Schnittstelle zwischen dem Festkörper und den Fluidelementen überschreitet. Für adiabatische Fluidaußenwände sollte dieser Wert dem Wert in Zeile 3 entsprechen.

Für das Fluidenergiegleichgewicht sollten die folgenden Werte übereinstimmen:

Energie Aus - Energie Ein = Wärmeübertragung von Wand zu Fluid + Wärmeübertragung aufgrund von Quelle in Fluid + Strahlungswärmeübertragung zu Fluidwänden

oder

Zeile 2 = Zeile 3 + Zeile 4 + Zeile 5

Für das Festkörperenergiegleichgewicht sollten die folgenden Werte übereinstimmen:

Wärmeübertragung aufgrund von Quellen im Festkörper = Wärmeübertragung von außerhalb zu Festkörper + Wärmeübertragung von Fluid zu Festkörper + (geringe Menge an Strahlung)

oder

Zeile 7 = Zeile 6 + Zeile 8 + (geringe Menge an Strahlung)

Für Strahlungsberechnungen wird der Wert in Zeile 8 größer sein als in Zeile 6, da die aus den Festkörpern entweichende Strahlung nicht mitberechnet wird.

Warum stimmen sie nicht genau überein? Wir fassen die Restwerte der Energiegleichung an jedem Knoten im Modell zusammen. Wird die Energiegleichung nicht angeglichen, gibt es kein Gleichgewicht. Selbst nach einer Angleichung kann das Energiegleichgewicht infolge von Abrundungen und Ungenauigkeiten im Netz einige Fehler enthalten.

Beachten Sie weiterhin, dass das Ziel der Autodesk® CFD eine Lösung mit der größtmöglichen Temperaturgenauigkeit ist. Autodesk® CFD verwendet deshalb bei der Berechnung nicht das Energiegleichgewicht, um die beste Lösung zu finden, vielmehr werden direkt die Energiegleichung und die Temperaturlösung betrachtet und sie für die beste Temperaturlösung optimiert. Wurde die Energiegleichung auf Strömen basierend erstellt, dann wird selbst für eine nicht konvergierte Energielösung immer ein Energiegleichgewicht erzielt. Beim Ausgleichen dieser Ströme wäre es jedoch erforderlich, die Temperaturen zu streuen, um dieses Energiegleichgewicht aufrechtzuerhalten. Dieses Ausgleichen des Wärmestroms würde flachere Temperaturgradienten bewirken. In Autodesk® CFD werden die Temperaturgradienten nicht künstlich an einen Strom oder ein Energiegleichgewicht angepasst und behalten somit das Gefälle, das von dem Netz und der Diskretisierung unterstützt wird. Da es in der Regel die Temperaturen sind, die das Design einschränken, wäre eine genauere Lösung der lokalen Temperaturen wünschenswert.

Kann in Autodesk® CFD ein Energiegleichgewicht erzielt werden? Ja, allerdings werden hierzu ein feineres Netz und mehrere hundert Iterationen benötigt. Wir stellten fest, dass die zusätzliche Netzverfeinerung und die Iterationen die Temperatur zwar um nicht mehr als ein paar Zehntel- oder Hundertstelgrad, das Energiegleichgewicht dagegen um mindestens 20 % ändern können.

Beispiel: Für das Wärmeübertragungsproblem in der Abbildung unten ist die erwartete Temperatur von Einlass und Auslass 1 Grad Celsius, mit einem Massenstrom von 1 kg/s und einer Energiezufuhr von 100 Watt (die spezifische Fluidwärme ist 100).

Beträgt die von Autodesk® CFD berechnete Temperatur 31.1 Grad Celsius, so liegt der Fehleranteil des Energiegleichgewichts bei 10 %. Der Fehler in der Temperaturlösung beträgt jedoch:

Somit beträgt der Fehleranteil in der Temperaturlösung weniger als 1 %. Des Weiteren wird die Temperaturmatrix anhand absoluter Temperaturwerte erstellt, somit beträgt der reale Fehleranteil:

Der Fehleranteil der Temperaturlösung liegt deshalb bei 0.03 %.