The Christensen criterion utilizes the following six fundamental strengths of the composite material to identify two different failure modes: matrix failure and fiber failure.
= Value of σ11 at longitudinal tensile failure
= Value of σ11 at longitudinal compressive failure
= Value of σ22 at transverse tensile failure
= Value of σ22 at transverse compressive failure
= Absolute value of σ12 at longitudinal shear failure
= Absolute value of σ23 at transverse shear failure
The matrix failure criterion is
where the transverse shear strength S23 is required to satisfy
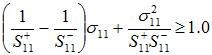
The fiber failure criterion is
