The Hashin criterion identifies four different modes of failure for the composite material: tensile fiber failure, compressive fiber failure, tensile matrix failure, and compressive matrix failure.
= Value of σ11 at longitudinal tensile failure
= Value of σ11 at longitudinal compressive failure
= Value of σ22 at transverse tensile failure
= Value of σ22 at transverse compressive failure
= Absolute value of σ12 at longitudinal shear failure
= Absolute value of σ23 at transverse shear failure
If
, the Tensile Fiber Failure Criterion is:
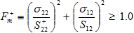
If
, the Compressive Fiber Failure Criterion is:
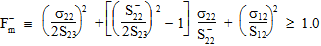
If
, the Tensile Matrix Failure Criterion is:
If
, the Compressive Matrix Failure Criterion is:
and S23.
- User-specified coefficient that determines the contribution of the longitudinal shear stress to fiber tensile failure. Allowable range is 0.0 ≤
≤ 1.0, and the default value is
=0.